DeepSort(Deep Simple Online and Realtime Tracking)是一种基于深度学习的多目标追踪(Multi-Object Tracking, MOT)算法,在准确性和实时性之间取得了良好的平衡,适用于各种场景下的多目标跟踪任务。
论文链接:https://arxiv.org/pdf/1703.07402
代码链接:https://github.com/MuhammadMoinFaisal/YOLOv7-DeepSORT-Object-Tracking
之前的SORT算法使用简单的kalman滤波处理逐帧数据的关联性,使用匈牙利算法进行关联度量。但由于SORT忽略了被检物体的表面特征,因此SORT算法只适用于遮挡情况少的、运动比较稳定的对象。
在DeepSORT中,使用更加可靠的度量代替关联度量,并使用CNN网络在大规模行人数据集上训练,提取外观特征,增加网络对目标遗失和遮挡的鲁棒性。
一. 具体实现
流程如下图所示。

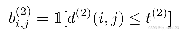
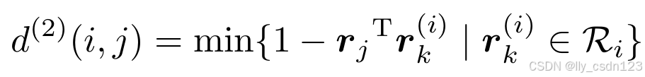
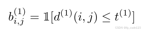
其中
max_dist :余弦距离的最大阈值(越相似,值越小);
min_confidence: 置信度的最小阈值;
nms_max_overlap: 非极大值抑制;
max

最低0.47元/天 解锁文章
762

被折叠的 条评论
为什么被折叠?



