剑指 Offer 36. 二叉搜索树与双向链表
输入一棵二叉搜索树,将该二叉搜索树转换成一个排序的循环双向链表。要求不能创建任何新的节点,只能调整树中节点指针的指向。
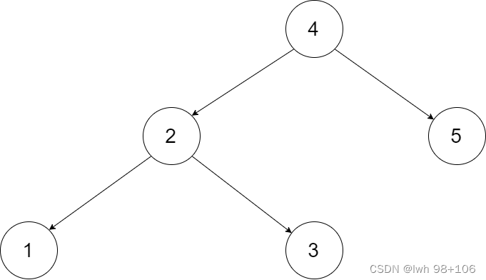
为了让您更好地理解问题,以下面的二叉搜索树为例:

我们希望将这个二叉搜索树转化为双向循环链表。链表中的每个节点都有一个前驱和后继指针。对于双向循环链表,第一个节点的前驱是最后一个节点,最后一个节点的后继是第一个节点。
下图展示了上面的二叉搜索树转化成的链表。“head” 表示指向链表中有最小元素的节点。
特别地,我们希望可以就地完成转换操作。当转化完成以后,树中节点的左指针需要指向前驱,树中节点的右指针需要指向后继。还需要返回链表中的第一个节点的指针。
最开始我们可能会弄懂不了题意,但之后我觉得这就是一道二叉搜索算法的进阶题,但是其实其思路还是一样,无非多了些处理步骤。
首先,返回第一个节点(head),这个可以在遍历左子树中标记。
二,连接其前一个节点。这个要求可以通过定义全局变量实现,
三,head的前一个节点连接最后遍历的节点
最后应记得,最后一节点的后驱应与head连接
代码
class Solution {
public:
Node* treeToDoublyList(Node* root) {
if(root==NULL)return NULL;
dfs(root);
head->pre;
pre->right=head;
}
private:
Node *pre,*head;
void dfs(Node *cur)
{
if(cur==nullptr)
{
return ;
}
dfs(cur->left);
if(pre!=nullptr)pre->right=cur;
else head=cur;
cur->left=cur;
pre=cur;
dfs(cur->right);
}
};
693

被折叠的 条评论
为什么被折叠?



