给你一个 n 个节点的 有向图 ,节点编号为 0 到 n - 1 ,其中每个节点 至多 有一条出边。
图用一个大小为 n 下标从 0 开始的数组 edges 表示,节点 i 到节点 edges[i] 之间有一条有向边。如果节点 i 没有出边,那么 edges[i] == -1 。
请你返回图中的 最长 环,如果没有任何环,请返回 -1 。
一个环指的是起点和终点是 同一个 节点的路径。
示例 1:

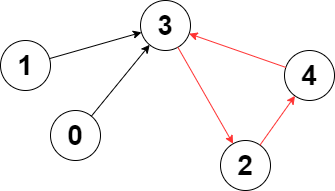
输入:edges = [3,3,4,2,3]
输出去:3
解释:图中的最长环是:2 -> 4 -> 3 -> 2 。
这个环的长度为 3 ,所以返回 3 。
示例 2:

输入:edges = [2,-1,3,1]
输出:-1
解释:图中没有任何环。
public class Demo1 {
public static void main(String[] args) {
System.out.println(new Solution().longestCycle(new int[]{3,3,4,2,3}));
}
}
class Solution {
static int cnt = 0;
static Map<Integer, Integer> map = new HashMap<>();
public int longestCycle(int[] edges) {
int r = -1;
map = new HashMap<>();
for (int i = 0; i < edges.length; i++) {
Set set = new HashSet();
cnt = 0;
int a = dfs(i, i, edges, set);
map.put(i, a);
//System.out.println(cnt);
if (r < a) {
r = a;
}
}
return r;
}
public int dfs(int startIndex, int index, int[] edges, Set set) {
if (map.get(index) != null) {
return -1;
}
if (index < 0) {
return -1;
}
int cur = edges[index];
//System.out.println(cur);
if (cur == -1) {
return -1;
}
if (!set.contains(index)) {
set.add(index);
cnt++;
return dfs(startIndex, cur, edges, set);
} else {
if (startIndex != index) {
return -1;
} else {
return cnt;
}
}
}
}
本文介绍了一种算法,用于求解给定有向图中的最长环。通过深度优先搜索和回溯机制,该算法能有效地找到图中最长的闭合路径。

666

被折叠的 条评论
为什么被折叠?



