摘要:
针对离散无记忆信源,本文详细证明当且仅当所有输出符号概率相等时熵达到最大值。通过拉格朗日乘数法和凸性分析两种方法,严格推导出最大熵条件,并结合几何意义和实际应用场景给出信息论解释,同时补充代码验证部分,增强证明的直观性与可信度。
1. 引言
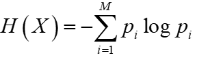
离散无记忆信源(Discrete Memoryless Source, DMS)是信息论中最基础的信源模型,其核心特点是信源每次输出的符号相互独立,且符号出现的概率不随时间变化。熵作为衡量信源不确定性的关键指标,定义为 :

最大熵原理是信息论中的重要准则,它指出:在无额外约束条件下,均匀分布是唯一能使离散无记忆信源熵达到最大值的概率分布。这一原理不仅为信源编码、密码学等领域提供了理论基础,也揭示了 “不确定性最大化” 的内在规律。
下面将通过两种严谨的数学方法证明这一结论,并补充代码验证过程。
2. 问题描述
设信源输出M个符号
![]()
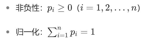
概率分布为
![]()
其中,满足:

求解:

最低0.47元/天 解锁文章
3348

被折叠的 条评论
为什么被折叠?



