1. 松杆中性点
- stick fixed: N 0 N_0 N0,握杆,升降舵固定
- stick free: N 0 ′ N'_0 N0′,松杆,升降舵自由(在气动力作用下偏转直至铰链力矩为零)

2. 松浮角
松杆静稳定性是低于握杆静稳定性的。
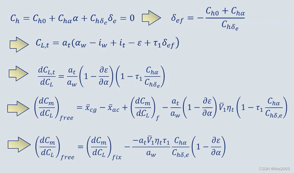
( d C m d C L ) f r e e > d C m d C L ) f i x e d (\frac {dC_m} {dC_L})_{free} > \frac {dC_m} {dC_L})_{fixed} (dCLdCm)free>dCLdCm)fixed
2. 杆力梯度

随着速度的增加,杆力增加是符合人体习惯的。
3. 参考资料
飞行动力学-第15节-part2-松杆中性点
文章探讨了飞行动力学中的松杆中性点和松浮角概念,解释了松杆时飞机的静稳定性相对于握杆时的降低,并指出随着速度增加,杆力增加符合人体工程学。此外,还提到了杆力梯度对飞行员操纵的影响。
4901

被折叠的 条评论
为什么被折叠?



