
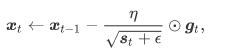
为最小化损失函数进行参数更新时,对于noisy gradient,我们需要谨慎的选取学习率和batch size, 来控制梯度方差和收敛的结果。
损失函数中的参数,单独进行更新时参数们的收敛速度一般是不同的,这种不同造成了更新过程中损失值的震荡,或者难以收敛。如:f(x)=0.1 * x1^2 + 2 * x2^2中,x2与x1的梯度更新速度相差20倍。
给定学习率,梯度下降迭代自变量时会使自变量在竖直方向比在水平方向移动幅度更大。那么,我们需要一个较小的学习率从而避免自变量在竖直方向上越过目标函数最优解。然而,这会造成自变量在水平方向上朝最优解移动变慢。但将学习率调得稍大一点,此时自变量在竖直方向不断越过最优解并逐渐发散
为缓解上述问题,可以采取两种方法。
1:Preconditioning的做法:在二阶优化中,我们使用Hessian matrix的逆矩阵(或者pseudo inverse)来左乘梯度向量。
2:Averaging history gradient。
Momentum
增加动量m,momentum算法更新参数的两种写法:

由指数加权移动平均理解动量法。由指数加权移动平均的形式可得,动量m 实际上对序列nt*gt/(1-B) 做了指数加权移动平均。指数加权移动公式:
在实际中,我们常常将yt看作是对最近1/(1-B) 个时间步的y值的加权平均。所以,在动量法中,自变量在各个方向上的移动幅度不仅取决于当前梯度,还取决于(考虑了)过去的各个梯度在各个方向上是否一致。
这样,我们就可以使用较大的学习率,从而使自变量向最优解更快移动。
AdaGrad
在“动量法”一节里我们看到当和的梯度值有较大差别时,需要选择足够小的学习率使得自变量在梯度值较大的维度上不发散。但这样会导致自变量在梯度值较小的维度上迭代过慢。
而AdaGrad算法中目标函数自变量中每个元素都分别拥有自己的学习率。更新公式为:


gt为小批量随机梯度。
RMSProp
我们在“AdaGrad算法”一节中提到,因为调整学习率时分母上的变量一直在累加按元素平方的小批量随机梯度,所以目标函数自变量每个元素的学习率在迭代过程中一直在降低(或不变)。
类似于“动量法”,RMSProp算法将梯度按元素平方做指数加权移动平均。

类似于AdaGrad,RMSProp目标函数自变量中每个元素都分别拥有自己的学习率。

AdaDelta
AdaDelta算法也是AdaGrad的改进版,其没有学习率这一超参数,但增加了一个状态变量:

该算法参数更新公式如下:




Adam
Adam算法在RMSProp算法基础上对小批量随机梯度也做了指数加权移动平均
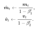
mt,时间步t的动量变量。gt,梯度。m0,v0=0,0


mt,vt均作偏差修正。



上述总结自:https://www.kesci.com/org/boyuai/project/5e47c7ac17aec8002dc5652a
感谢!
这篇博客探讨了在深度学习中优化损失函数时遇到的问题,如梯度下降的震荡和收敛速度不一。文章介绍了多种优化算法,包括Momentum、AdaGrad、RMSProp、AdaDelta和Adam,解释了它们如何解决这些问题。Momentum通过引入动量来加速收敛,AdaGrad针对不同维度的梯度提供个性化的学习率,RMSProp和AdaDelta进一步改进了学习率的调整,而Adam结合了动量和梯度平方的指数加权移动平均,以提高训练效率。
7754

被折叠的 条评论
为什么被折叠?



