当光芒舞动在光子舞会的旋律之中——深度探究 Comsol 的偏振转换与极化效应
摘要:
本篇文章以一个科学探险家的视角,通过Comsol这一强大工具,深度挖掘光在极化偏转超表面的精彩表演。文章从四斯托克斯参数的观测,线偏振度与圆偏振度的剖析,到偏振方位角和椭圆率角的精妙测量,最后关注了偏振转换效率这一关键参数,并进行了初步的实验解析与策略分享。在文字中游走,探索中可见细微变化;在探索里品读,思考与惊喜就在笔触之间。
一、初识偏振的奥秘
在这场光子舞会的舞台上,光的偏振似乎成为了一种无形的语言。偏振的奇妙之处在于它能够通过四个斯托克斯参数来描述光的特性。这四个参数就像是一把钥匙,打开了光与物质交互的神秘之门。
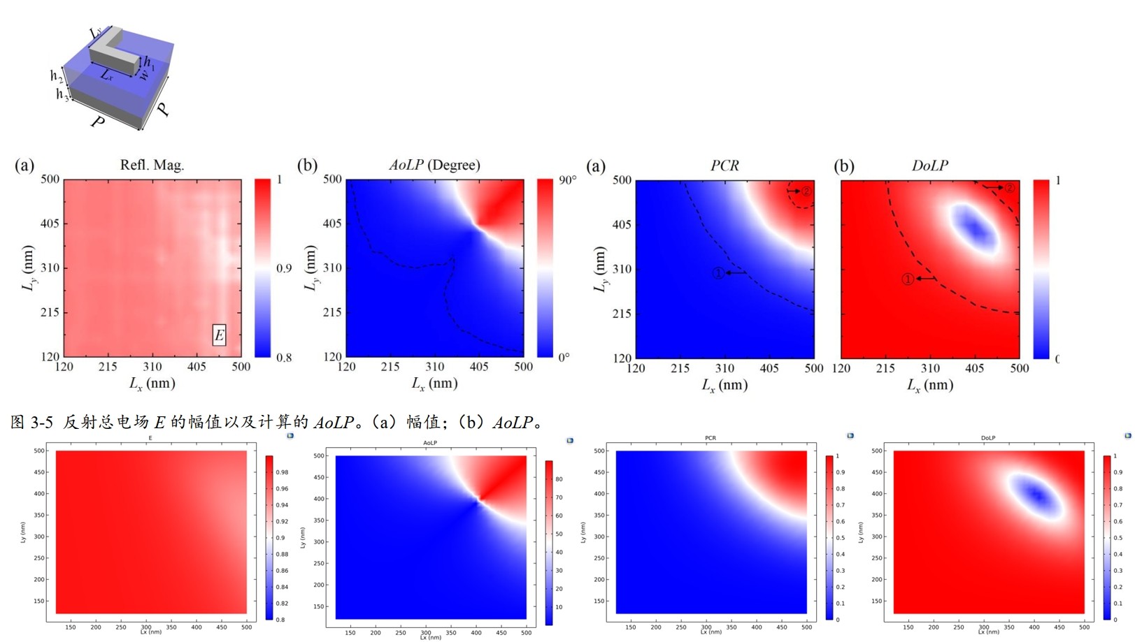
二、线偏振度与圆偏振度
我们借助Comsol这一强大的模拟工具,观察到线偏振度和圆偏振度的变化。线偏振度如同一把利剑,指引着光波的定向运动;而圆偏振度则像是一股流动的河流,描述了光波在空间中的旋转。两者交织在一起,形成了一幅美丽的光之画卷。
三、方位角与椭圆率角:探寻光子的足迹
当我们尝试探索更深入的信息时,我们找到了偏振方位角和椭圆率角这两个关键的参数。这些数据犹如追踪光的路径和光子移动轨迹的指针,揭示了光线如何在特定表面中进行定向变换的奥秘。随着每一个度数的细微变化,都伴随着一种独特的光子现象和行为的展现。
四、偏振转换效率:光的魔法师
在所有的参数中,偏振转换效率无疑是最为关键的。它就像一个魔法师,能够瞬间改变光的形态和属性。通过Comsol的精确计算和模拟,我们可以对偏振转换效率进行精确的测量和优化。这种效率的高低直接决定了光在极化偏转超表面上的表现和效果。
五、实验与策略:从理论到实践
在理论的基础上,我们进行了初步的实验解析和策略分享。通过实际操作和不断的尝试,我们找到了如何更好地利用Comsol进行模拟和优化,以达到最佳的偏振转换效果。这些策略不仅对当前的研究有着重要的指导意义,同时也为未来相关领域的研究和应用提供了有力的支持。
在这个探索的过程中,每一次敲击键盘的声音都像是音乐中的节拍,每一段文字都是我们对知识的探索和对世界的感知。让我们一起沉浸在这次科学探险中,用心感受光在极化偏转超表面的每一丝细微变化,期待下一次新的发现和思考!
comsol求解极化偏转超表面的四个斯托克斯参数,线偏振度,圆偏振度,偏振方位角,椭圆率角,偏振转换效率

1900

被折叠的 条评论
为什么被折叠?



