复习要点
-
二体问题的基本运动方程(开普勒轨道)是什么?

-
基本轨道6要素是什么?



-
发射三要素是什么?

-
太阳同步轨道的升交点如何变化?
-
临界轨道的倾角如何选择?

-
冻结轨道的近地幅角和偏心率如何选择?
-
回归轨道的三要素是什么?

-
静止轨道的条件是什么?

-
全球连续覆盖星群的卫星个数如何确定?

-
考虑摄动因素,卫星运动方程的一般形式是什么?

-
轨道6要素摄动的拉格朗日行星运动方程是什么?

-
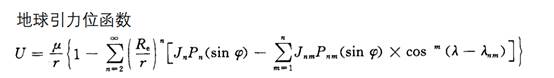
地球引力场位函数模型是什么?带谐项和田谐项的特征是什么?

- 带谐项: 用 ( J_n ) 和 ( P_n(\sin \phi) ) 描述,表示整体的谐振特性。 - 田谐项: 用 ( J_{nm} ) 和 ( P_{nm}(\sin \phi) \cos m (\lambda - \lambda_{nm}) ) 描述,表示局部的细节特性。
-
阐述双脉冲霍曼变轨的过程,解释嫦娥6号探月过程的轨道控制。
-
阐述静止卫星的入轨过程。

-
如何克服地球形状摄动和光压摄动,使得静止卫星在东西方向上保持位置?
3.5.2
-
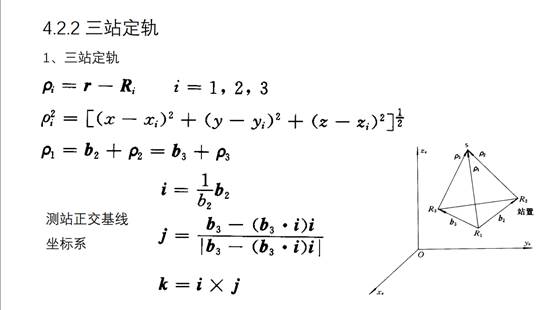
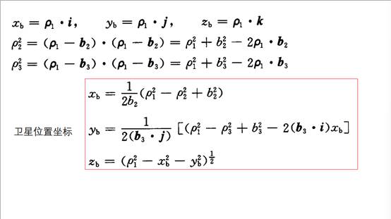
阐述地面三站测轨的原理。



-
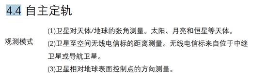
自主导航有哪几种观测模式?

-
卫星的姿态有哪几种描述方式?

-
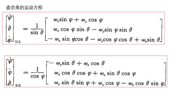
卫星的姿态运动学方程。




-
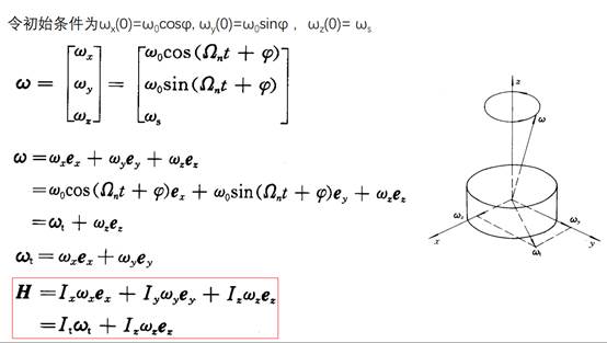
扁粗型和细长型自旋卫星的章动特性是什么?




-
三轴稳定卫星稳定的充分条件是什么?

-
空间力矩有哪几种?

-
阐述双锥相交姿态测量的原理。
-
自旋卫星的参考测量有哪些?

-
阐述双脉冲喷气进动控制的过程。



-
多脉冲喷气进动控制的两种方法是什么?

-
画出四斜装反作用飞轮姿态控制系统的方框图。

-
力矩陀螺群有哪几种构形?




-
给出单框架陀螺群的控制律。

-
给出采用混合坐标描述的带有挠性附件的卫星的动力学方程。

-
带有挠性附件的卫星的控制模式有哪两种?

-
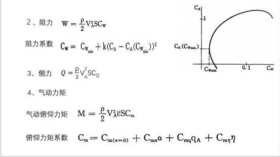
气动力的一般描述形式是什么样的?


-
给出直翼飞机6自由度刚体的通用动力学方程。


-
飞机的纵向运动和横向运动分别有哪几种运动模态?


-
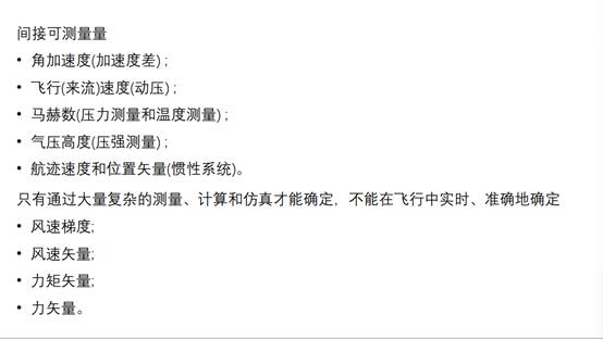
飞机的测量信息有哪些?


-
飞机的纵向运动和横向运动的变量是如何分组的?
-
画出飞机的6级控制系统方框图。

-
旋翼直升机的操纵量有哪些?

-
为了更准确地对旋翼直升机进行建模,除了6自由度刚体的动力学方程外,还要考虑哪些因素?

-
飞行品质规范的三维评价体系是什么?
