深度学习笔记
1.简单的二输入单层感知机模型的实现
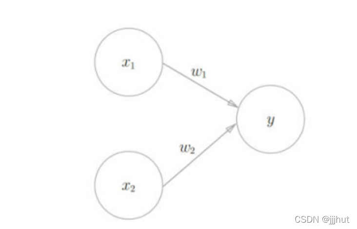
结构如图所属:

由图可知:
输入信号(input):X[x1,x2] 也就是样本集合
权重:[w1,w2],用来体现对应输入的重要性
在这里我们设定,这个神经元(感知机)会计算接收到的信号的总和H。只有当这个总和H超过某个阈值之后,才会输出1,否则为0。该行为我们称为”神经元被激活“。
激活函数(阶跃函数)如图所示:

2.小demo实现
在这里我们用感知机的思想,来实现一个数字逻辑上的“与门”

代码实现:
import numpy as np
def AND(x1,x2):
w1,w2,theta = 0.5,0.5,0.7
tmp = x1*w1+x2*w2
if tmp<=theta:
return 0
elif tmp>theta:
return 1
print("0&0=",AND(0,0))
print("1&1=",AND(1,1))
print("1&0=",AND(1,0))
print("0&1=",AND(0,1))
结果:

解析:
这里只是简单的实现了一下我的上述内容,我们可以看到,我是自己设定的权重值和阈值。同样的方式,我们可以为感知机设定不同的参数组合,用来实现与非门和或门。
注:在这里,决定参数组合的是人而不是计算机,这无穷多的参数组合他分类的效果都是不同的,有时为了找出最优的参数组合,往往会消耗大量的时间,亦或是找不到,而机器学习的课题就是将这个寻找最佳参数组合的工作交给计算机自动进行。学习就是确定合适参数的过程。
本文介绍了如何使用简单的二输入单层感知机模型,通过设定权重和阈值,实现数字逻辑中的与门功能,并通过代码演示了如何根据参数调整实现不同逻辑操作。重点在于理解感知机工作原理和激活函数的作用。
37万+

被折叠的 条评论
为什么被折叠?



