快排是分治的思想,分解成小问题,解决(排序),合并(排序过程都是在一个数组上直接操作,不用合并的过程)。
快速排序复杂度
最坏情况(O(n^2))
证明:最坏情况下就是对已经排好序的序列操作,假设是从小到大,那么last就会从最后一直比到first(哨兵位置)(共比较n-1次),并且将序列分为1和n-1,之后n-1以类似方式被递归划分。
假设算法每次都进行了这种不对称划分,划分的时间代价为θ(n)[//n是元素个数],因为对一个大小为0的数组递归调用后T(0)=θ(1)[//相当于只调用一次就会返回,不会进行更深层次的递归调用],算法的运行时间可以递归表示为:
T(n)=T(n-1)+T(0)+θ(n)=T(n-1)+θ(n)
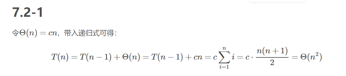
书上说是用代换法。代换法两步:1)假设解的形式 2)用数学归纳找出使解真正有效的常数。例如:
链接 (这个证明有错误)总的过程就是先根据经验猜测,然后代入推导。
此处证明:链接:

最好情况(O(nlgn))
最好情况是在平均划分的情况下:
T(n)≤2T(n/2)+θ(n).
之所以是≤,是因为一个被划分为n/2取地板,另一个子问题大小为n/2取天棚减1.
这个使用主定理(the Master Theorem)方法证明:
主定理:


//主变量定理证明我没看。
在T(n)≤2T(n/2)+θ(n)中,f(n)=θ(n)=cn. a=2,b=2,所以使用第2条得T(n)=O(nlgn).
还讨论了,划分是9:1划分,得到的结果是运行时间也是θ(nlgn).主要原因是任意一种常数比例进行的划分都会产生深度为θ(lgn)得递归树。
平均情况θ(nlgn)
在平均情况下,好的划分和坏的划分是平均出现在划分树上的,当好、差划分交替在各层时,快排的运行时间就如全是好的划分一样,为θ(nlgn).

附知乎大佬回答:


//这个平均情况的公式不太理解
优化
//明天再来写,根据规模使用不同的排序算法+快排变形。
参考:百度百科+《算法导论》
本文深入探讨了快速排序算法,分析其在最坏、最好及平均情况下的时间复杂度,并讨论了如何通过优化提高效率。
830





