本文重点
在数学和工程领域,瑞利商(Rayleigh quotient)的推广形式——广义瑞利商(Generalized Rayleigh quotient)扮演着重要的角色。它们不仅为线性代数中的特征值问题提供了新的视角,还在信号处理、机器学习、计算机视觉等领域有广泛的应用。
广义瑞利商的定义
广义瑞利商是对瑞利商的推广,它引入了第二个Hermitian矩阵B。

其中,A和B均为n×n的Hermitian矩阵,x为非零向量,且B为正定矩阵(即对任意非零向量y,有y^H B y > 0)。对向量x进行缩放,广义瑞利商不变。
广义瑞利商的极值
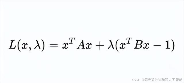
和之前学习的瑞利商的形式类似,我们令X^TBx=1

可以得到拉格朗日乘子函数:

对x求梯度可以得到拉格朗日乘数法:
订阅专栏 解锁全文
2万+

被折叠的 条评论
为什么被折叠?



