

基本概念
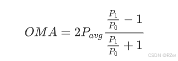
OMA(Optical Modulation Amplitude):光调制幅度,是光信号测试中的一项指标。是指光模块接收到的信号”1”的光功率和信号“0”的光功率的差值。即:

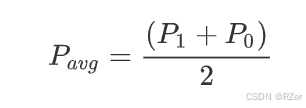
Pavg(average optical power):接收平均光功率 ,是指光模块接收到的信号”1”的光功率和信号“0”的光功率的平均值。即:

ER(Extinction Ratio):消光比 ,是指最坏的发射条件下,传信号"1"的平均光功率与传信号"0"的平均光功率的比值。即:

OMA与平均光功率和消光比之间的换算关系如下:

OMA与ER都是衡量P1与P0的相对关系的指标。指标P1、P0、Pavg中的任何一个参数的值确定下来,就可以根据OMA或者ER的大小计算出另外的参数值。
OMA与ER的区别
-
OMA可以体现光的衰减。
在实际的光传输系统中,与传输前的光信号相比,经过链路的损耗和衰减之后的光信号,消光比基本上恒定不变,但是OMA却减小了。
例如P1=1mW,P0=0.1mW的输入信号,ER=10,OMA=0.9mW。经过一段光纤传输后,P1=0.5mW,P0=0.05mW,此时,ER=10,而OMA=0.45mW。 -
OMA与接收机误码率有关。
理论上,系统的误码率(BER)由光信号的信噪比或者Q因子决定。
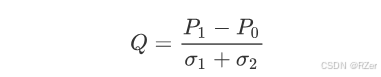
Q因子计算公式如下:

其中:P1-P0=OMA,而分母是P1与P0的标准差之和,其实代表了噪声的大小。对于热噪声受限的接收机,P1与P0对应的噪声是一样的。
由上式可以看出,Q因子只取决于OMA,而与平均光功率无关。
OMA与接收灵敏度的关系
Receiver Sensitivity:接收灵敏度,是指在保证达到所要求的误码率的条件下,接收机所需要的最小输入光功率。单位:dBm 。 接收灵敏度越大,说明接收机的接收性能越差。
影响接收机灵敏度的因素:
- 信噪比: 信噪比越大,表明接收电路的噪声越小,对灵敏度影响越小。
- 信号的波形: 信号的波形主要由发端的消光比和光纤的色散来决定。
- 信号的传输速率: 速率越高,接收灵敏度越差,中继距离就越短。
对于数字光接收机,输入的是差分信号,对于判决起作用的是信号的摆幅而不是平均功率。所以,OMA是决定接收灵敏度的根本因素。
为了衡量接收机的性能,考察在规定的误码率时接收机可以接收的最小OMA(有效光功率),比考察最小平均光功率更加直接、科学。因为如果知道了最小平均光功率,还必须知道消光比,然后换算成最小OMA(有效光功率)。
因此按照规范,光纤通道用的光模块在测试光接收灵敏度时,不需要规定准确的光源的消光比。但是由于测试OMA比较复杂,所以通常还是测试平均光功率,然后根据光源的消光比计算出OMA(消光比在光传输时恒定不变)。

3484

被折叠的 条评论
为什么被折叠?



