西瓜书学习记录-线性模型(第三章)
第三章啦














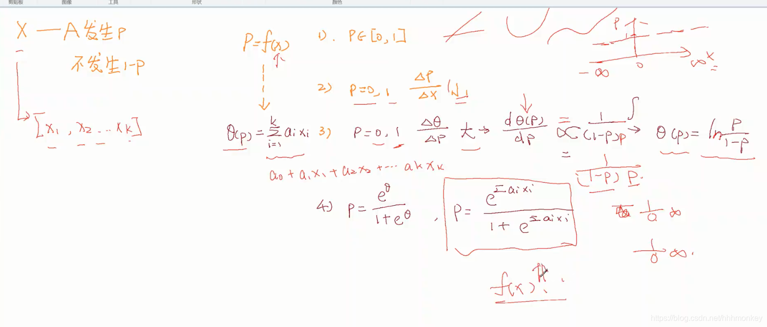
反函数(上图)













梯度下降法:










补充::


看的大佬的教学视频,标明一下出处:
https://www.bilibili.com/video/BV17J411C7zZ
记录一下,方便以后自己复习,加油!
本篇为《西瓜书》线性模型章节的学习总结,主要内容包括反函数、梯度下降法等知识点,并附带了相关教学视频链接,便于后续复习。
第三章啦














反函数(上图)













梯度下降法:










补充::


看的大佬的教学视频,标明一下出处:
https://www.bilibili.com/video/BV17J411C7zZ
记录一下,方便以后自己复习,加油!
1430

被折叠的 条评论
为什么被折叠?