利用弹性本构来研究命令流的实现。
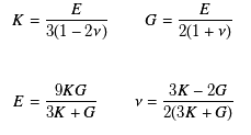
zone cmodel assign elastic
zone property bulk 5.56e9 shear 2.71e9
ps:当赋值重力时,必须给密度参数。


stress xx 与 sterss-xx 的区别,前者可以一次性指定多个方向的应力值,没有赋值的默认为0,后者可以指定含有变量的值,但是每个分量的值都得单独赋值。
可读取命令:
zone initialize stress-xx 1.0e6
zone initialize stress-yy 1.0e6 vary 0 1e6 1e6
zone initialize stress-zz 1.0e6 gradient 0 0 1e6 origin 0 0 3
zone initialize stress-xy 1.0e6
zone initialize stress-xz 1.0e6
zone initialize stress-yz 1.0e6


可读取命令:
zone initialize stress xx 1.0e6 yy 1.0e6 zz 1.0e6 xy 1.0e6 xz 1.0e6 yz 1.0e6
验证代码命令:
如何正确赋值,形成水平最大主应力和最小主应力,两者应该垂直,一般可通过建模来匹配。
zone initialize stress-xx 1.0e7 gradient 0 0 -1.0e7 origin 0 0 5
zone initialize stress-yy 1.0e7 gradient 0 0 -1.0e7 origin 0 0 5
赋予正值时,两侧受压,符合常规应用需要。


赋予负值时,则两侧受拉。
zz方向的应力施加也是同样的规律。
1919

被折叠的 条评论
为什么被折叠?



