前言
中等 √ 偷懒哈希表搞定了
题目
给定一个链表的头节点 head ,返回链表开始入环的第一个节点。 如果链表无环,则返回 null。
如果链表中有某个节点,可以通过连续跟踪 next 指针再次到达,则链表中存在环。 为了表示给定链表中的环,评测系统内部使用整数 pos 来表示链表尾连接到链表中的位置(索引从 0 开始)。如果 pos 是 -1,则在该链表中没有环。注意:pos 不作为参数进行传递,仅仅是为了标识链表的实际情况。
不允许修改 链表。
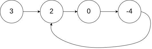
示例 1:

输入:head = [3,2,0,-4], pos = 1 输出:返回索引为 1 的链表节点 解释:链表中有一个环,其尾部连接到第二个节点。
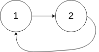
示例 2:

输入:head = [1,2], pos = 0 输出:返回索引为 0 的链表节点 解释:链表中有一个环,其尾部连接到第一个节点。
示例 3:

输入:head = [1], pos = -1 输出:返回 null 解释:链表中没有环。
提示:
- 链表中节点的数目范围在范围
[0, 104]内 -105 <= Node.val <= 105pos的值为-1或者链表中的一个有效索引
进阶:你是否可以使用 O(1) 空间解决此题?
思路
跟上一题一样,哈希表存储前置节点,一边遍历一边检查该节点是否存在与哈希表中。
我的题解
/**
* Definition for singly-linked list.
* struct ListNode {
* int val;
* ListNode *next;
* ListNode(int x) : val(x), next(NULL) {}
* };
*/
class Solution {
public:
ListNode *detectCycle(ListNode *head) {
unordered_set<ListNode*> linkmap;
while(head){
if (linkmap.count(head))
return head;
linkmap.insert(head);
head = head->next;
}
return NULL;
}
};
官方题解
快慢指针
我们使用两个指针,fast 与 slow。它们起始都位于链表的头部。随后,slow 指针每次向后移动一个位置,而 fast 指针向后移动两个位置。如果链表中存在环,则 fast 指针最终将再次与 slow 指针在环中相遇。
如下图所示,设链表中环外部分的长度为 a。slow 指针进入环后,又走了 b 的距离与 fast 相遇。此时,fast 指针已经走完了环的 n 圈,因此它走过的总距离为 a+n(b+c)+b=a+(n+1)b+nc。
根据题意,任意时刻,fast 指针走过的距离都为 slow 指针的 2 倍。因此,我们有
a+(n+1)b+nc=2(a+b)⟹a=c+(n−1)(b+c)
有了 a=c+(n−1)(b+c) 的等量关系,我们会发现:从相遇点到入环点的距离加上 n−1 圈的环长,恰好等于从链表头部到入环点的距离。
因此,当发现 slow 与 fast 相遇时,我们再额外使用一个指针 ptr。起始,它指向链表头部;随后,它和 slow 每次向后移动一个位置。最终,它们会在入环点相遇。
心得
偷懒了,实际上这里应该用快慢指针解。证明方法如下:设a为相遇点,b为慢指针当前位置到相遇点距离,c为环长减b,n为快指针走过的圈数。一条等式:2*(a+b) = a + n(b+c) + b, 得a = c + (n -1)(b+c)。此时再定义一个指针p,与慢指针同时出发,p走a距离的时候,慢指针走了c + (n -1)(b+c),两个指针刚好在入环口相遇。这里居然还有第三个指针要定义 ,目的是根据等式关系找到入口,确实没想到。
1106

被折叠的 条评论
为什么被折叠?



