outputs = batch_norm_for_conv2d(outputs, is_training, bn_decay=bn_decay, scope='bn')
def batch_norm_for_conv2d(inputs, is_training, bn_decay, scope):
""" Batch normalization on 2D convolutional maps.
Args:
inputs: Tensor, 4D BHWC input maps
is_training: boolean tf.Varialbe, true indicates training phase
bn_decay: float or float tensor variable, controling moving average weight
scope: string, variable scope
Return:
normed: batch-normalized maps
"""
return batch_norm_template(inputs, is_training, scope, [0,1,2], bn_decay)
batch_norm_for_conv2d根据作者解释,是batch为单位在2d卷积层面进行归一化,具体实现在batch_norm_template中,如下:
def batch_norm_template(inputs, is_training, scope, moments_dims, bn_decay):
""" Batch normalization on convolutional maps and beyond...
Ref.: http://stackoverflow.com/questions/33949786/how-could-i-use-batch-normalization-in-tensorflow
Args:
inputs: Tensor, k-D input ... x C could be BC or BHWC or BDHWC
is_training: boolean tf.Varialbe, true indicates training phase
scope: string, variable scope
moments_dims: a list of ints, indicating dimensions for moments calculation
bn_decay: float or float tensor variable, controling moving average weight
Return:
normed: batch-normalized maps
"""
with tf.variable_scope(scope) as sc:
num_channels = inputs.get_shape()[-1].value
beta = tf.Variable(tf.constant(0.0, shape=[num_channels]),
name='beta', trainable=True)
gamma = tf.Variable(tf.constant(1.0, shape=[num_channels]),
name='gamma', trainable=True)
batch_mean, batch_var = tf.nn.moments(inputs, moments_dims, name='moments')
decay = bn_decay if bn_decay is not None else 0.9
ema = tf.train.ExponentialMovingAverage(decay=decay)
# Operator that maintains moving averages of variables.
ema_apply_op = tf.cond(is_training,
lambda: ema.apply([batch_mean, batch_var]),
lambda: tf.no_op())
# Update moving average and return current batch's avg and var.
def mean_var_with_update():
with tf.control_dependencies([ema_apply_op]):
return tf.identity(batch_mean), tf.identity(batch_var)
# ema.average returns the Variable holding the average of var.
mean, var = tf.cond(is_training,
mean_var_with_update,
lambda: (ema.average(batch_mean), ema.average(batch_var)))
normed = tf.nn.batch_normalization(inputs, mean, var, beta, gamma, 1e-3)
return normed
在pointnet工程中,经过"transformnet1"中的'tconv1'之后产生的output[32,1024,1,64]作为输入,则
num_channels=64
beta = tf.Variable(tf.constant(0.0, shape=[num_channels]),
name='beta', trainable=True)
gamma = tf.Variable(tf.constant(1.0, shape=[num_channels]),
name='gamma', trainable=True)
初始化tensor,'beta','gamma',设置在train的时候实时观察,shape为64,类型为float,gama默认为1
momentdims为[0,1,2]是个vector里面的值是0,1,2
batch_mean, batch_var = tf.nn.moments(inputs, moments_dims, name='moments')声明一个batch对应的平均值以及方差tensor(batchsize明明是32为什么平均值及方差是64的tensor,能解释的就是每个batch有64channel,每个channel一个平均值以及方差)
decay = bn_decay沿用的依然是最初声明的指数增加的那个learning rate
ema = tf.train.ExponentialMovingAverage(decay=decay)创建参数的移动平均object
ema_apply_op = tf.cond(is_training,
lambda: ema.apply([batch_mean, batch_var]),
lambda: tf.no_op())
利用ema保持batch_mean, batch_var的移动平均
normed = tf.nn.batch_normalization(inputs, mean, var, beta, gamma, 1e-3)
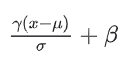
计算公式为:

gama以及beta需要在归一化的时候参与计算。其中gama为1beta默认为0所以默认归一化计算为(x-均值)/方差
本文深入解析了在2D卷积网络中应用Batch Normalization(BN)的实现细节,介绍了BN如何通过调整和缩放输入数据来改善网络训练,特别是在PointNet工程中的具体应用,展示了BN在提升模型收敛速度和性能方面的重要作用。
843

被折叠的 条评论
为什么被折叠?



