1. 题目描述
力扣在线OJ—— 206. 反转链表
给你单链表的头节点 head ,请你反转链表,并返回反转后的链表。
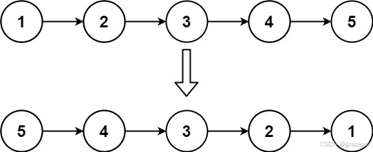
示例 1:
输入:head = [1,2,3,4,5]
输出:[5,4,3,2,1]
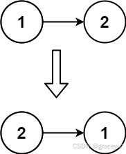
示例2
输入:head = [1,2]
输出:[2,1]
示例3
输入:head = []
输出:[]
2. 思路
思路1
思路2
取原节点到新链表,不创建新链表,保存下一个节点,完成头插。然后继续下一个
3. 代码实现
思路1代码实现
struct ListNode* reverseList(struct ListNode* head) {
if(head == NULL)
{
return NULL;
}
struct ListNode* n1,*n2,*n3;
n1 = NULL;
n2 = head;
n3 = n2->next;
while(n2)
{
//反转
n2->next = n1;
//下一步迭代
n1 = n2;
n2 = n3;
if(n3)
{
n3 = n3->next;
}
}
return n1;
}

思路2代码实现
struct ListNode* reverseList(struct ListNode* head) {
if (head == NULL) {
return NULL;
}
struct ListNode *cur, *newhead;
cur = head;
newhead = NULL;
while (cur) {
struct ListNode* next = cur->next;
// 头插
cur->next = newhead;
newhead = cur;
cur = next;
}
return newhead;
}

力扣206. 反转链表习题解析





3567

被折叠的 条评论
为什么被折叠?



