
在机器学习和统计领域,线性回归模型是最简单的模型之一。这意味着,人们经常认为对线性回归的线性假设不够准确。
例如,下列2个模型都是线性回归模型,即便右图中的线看起来并不像直线。

图1 同一数据集的两种不同线性回归模型
若对此表示惊讶,那么本文值得你读一读。本文试图解释对线性回归模型的线性假设,以及此类线性假设的重要性。
回答上述问题,需要了解以下两个简单例子中线性回归逐步运行的方式。

例1:最简单的模型
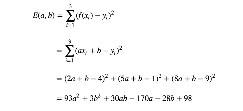
从最简单的例子开始。给定3对(x,y)训练数据:(2,4)、(5,1)、(8,9)进行函数建模,发现目标变量y和输入变量x之间的关系。

图2 本文中使用的训练数据集
这一模型最为简单,如下所示:

通过运用该简单的线性函数,可模拟x和y之间的关系。关键在于该函数不仅与输入变量x成线性关系,而且与参数a、b成线性关系。
当前目标是确定最符合训练数据的参数a和b的值。
这可通过测量每个输入x的实际目标值y和模型f(x)之间的失配来实现,并将失配最小化。这种失配(=最小值)被称为误差函数。
有多种误差函数可供选择,但其中最简单的要数RSS,即每个数据点x对应的模型f(x)与目标值y的误差平方和。

利用误差函数的概念,可将“确定最符合训练数据的参数a、b”改为“确定参数a、b,使误差函数最小化”。
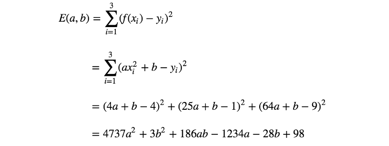
计算一下训练数据的误差函数。

上面的等式就是要求最小值的误差函数。但是,怎样才能找到参数a、b,得到此函数的最小值呢?为启发思维,需要将该函数视觉化。
图3 误差函数的第一个模型
从上方的3D图来看,人们会本能地猜测该函数为凸函数。凸函数的优化(找到最小值)比一般数学优化简单得多,因为任何局部最小值都是整个凸函数的最小值。(简单来讲,就是凸函数只有一个最小点,例如“U”的形状)由于凸函数的这种特性,通过简单求解如下的偏微分方程,便可得到使函数最小化的参数。

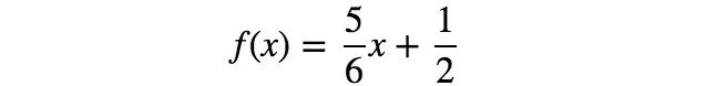
下面解下之前的例子吧。

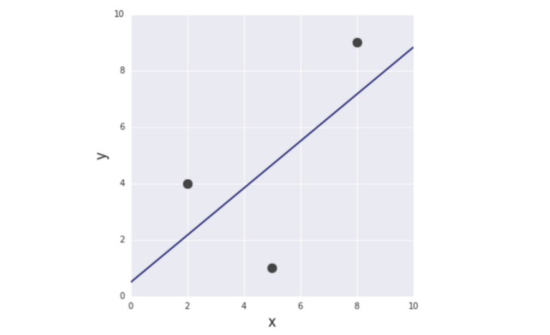
通过求解上面的等式,得到a = 5/6、b = 1/2。因此,第一个模型(最小化RSS)如下所示:


图4 第一个模型

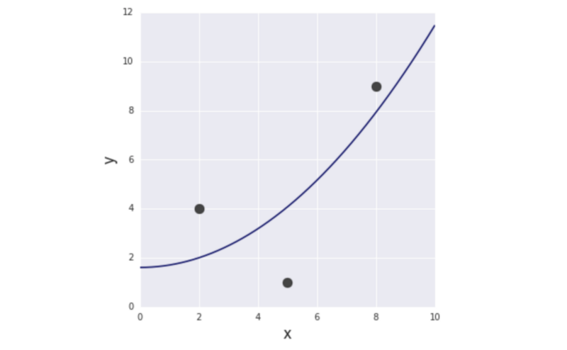
示例2:简单的弯曲模型
现在,对于相同的数据点,可考虑如下的另一模型:

如上所示,该模型不再是输入变量x的线性函数,但仍是参数a、b的线性函数。
下面看下这一变化对模型拟合过程的影响。我们将使用与前一示例相同的误差函数——RSS。

如上所示,等式看起来与前一个非常相似。(系数的值不同,但方程的形式相同。)该模型的可视化图像如下:

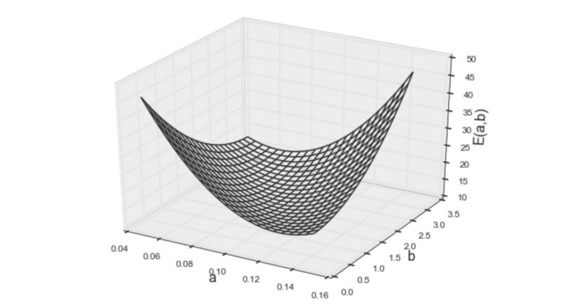
图5 误差函数的第二个模型
两个模型的形状看起来也很相似,仍然是凸函数。但秘密在于,当使用训练数据计算误差时,输入变量作为具体值给出(例如,x²的值在数据集中给定为22、52和8²,即(2,4)、(5,1)、(8,9))。因此,无论输入变量的形式多复杂(例如x、x²、sin(x)、log(x)等......),给定的值在误差函数中仅为常数。
误差函数的第二个模型也是凸函数,因此可通过与前一示例完全相同的过程找到最佳参数。

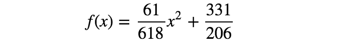
通过求解上面的等式,得到a = 61/618、b = 331/206。所以,第二个模型如下所示:


图6 第二个模型

结论:线性回归模型的线性假设
上述2个例子的求解过程完全相同(且非常简单),即使一个为输入变量x的线性函数,一个为x的非线性函数。两个模型的共同特征是两个函数都与参数a、b成线性关系。这是对线性回归模型的线性假设,也是线性回归模型数学单性的关键。
上面2个模型非常简单,但一般而言,模型与其参数的线性假设,可保证RSS始终为凸函数。通过求解简单偏微分方程,得到最优参数,这就是线性假设至关重要的原因。
本文解析了线性回归模型的本质,通过两个实例展示了模型如何拟合数据。即使模型看似非线性,只要其与参数的关系保持线性,便能确保误差函数的凸性,从而简化最优参数的寻优过程。
136

被折叠的 条评论
为什么被折叠?



