损失函数(Loss Function)用来估量模型的预测值 y ^ = f ( x ) \hat y = f(x) y^=f(x) 与真实值 y y y 的不一致程度。这里做一个简单梳理,以备忘,原文见损失函数清单。
回归问题
常见的回归问题损失函数有绝对值损失、平方损失、Huber损失。
绝对值损失
又叫做L1损失。
L ( y , y ^ ) = ∣ y − y ^ ∣ L(y, \hat y) = |y - \hat y| L(y,y^)=∣y−y^∣
M A E = 1 n ∑ i = 1 n ∣ y − y ^ ∣ MAE = \frac{1}{n} \sum_{i=1}^{n} |y - \hat y| MAE=n1i=1∑n∣y−y^∣
MAE一个问题是在 y − y ^ = 0 y - \hat y=0 y−y^=0 处不可导,优化比较困难。
平方损失
又称为L2损失。
L ( y , y ^ ) = ( y − y ^ ) 2 L(y, \hat y) = (y - \hat y)^2 L(y,y^)=(y−y^)2
M S E = 1 n ∑ i = 1 n ( y ^ − y ) 2 MSE = \frac{1}{n} \sum_{i=1}^{n}(\hat y - y)^2 MSE=n1i=1∑n(y^−y)2
MSE一个问题是对异常点敏感,由于平方的存在,会放大对异常点的关注。
Huber损失
相当于是L1和L2损失的一个结合。
L δ ( y , y ^ ) = { 1 2 ( y − y ^ ) 2 , f o r ∣ y − y ^ ∣ ≤ δ δ ∣ y − y ^ ∣ − 1 2 δ 2 , o t h e r w i s e L_{\delta}(y, \hat y) = \begin{cases} \frac{1}{2}(y - \hat y)^2, && for |y - \hat y| \le \delta \\ \delta |y - \hat y| - \frac{1}{2} \delta ^2, && otherwise \end{cases} Lδ(y,y^)={21(y−y^)2,δ∣y−y^∣−21δ2,for∣y−y^∣≤δotherwise
Huber损失是对上述两者的综合,当 ∣ y − y ^ ∣ \mid y-\hat y\mid ∣y−y^∣小于指定的值 δ \delta δ 时,变为平方损失,大于 δ \delta δ 时,则变成类似于绝对值损失。即避免了在 ∣ y − y ^ ∣ \mid y-\hat y\mid ∣y−y^∣在0处不可导问题,也解决了其值过大对异常值敏感的问题。值得注意的是,该函数在 δ \delta δ处连续。
三种Loss随残差 ∣ y − y ^ ∣ \mid y-\hat y\mid ∣y−y^∣的大致走势如下图。

分类问题
一般来说,二分类机器学习模型输出有两个部分:线性输出 s s s和非线性输出 g ( s ) g(s) g(s)。其中,线性输出score一般是
s = w T x s = w^Tx s=wTx
非线性输出常见的如sigmoid:
g ( s ) = 1 1 + e − s g(s) = \frac{1}{1 + e^{-s}} g(s)=1+e−s1
对应label y y y一般两种表示方式, { + 1 , − 1 } \{+1, -1\} {+1,−1}或 { 1 , 0 } \{1, 0\} {1,0}表示正负类。其中用 { + 1 , − 1 } \{+1, -1\} {+1,−1}表示正类有个好处,就是从 y s ys ys可以看出是否是误分类。
- 若 y s ≥ 0 ys \ge 0 ys≥0,则预测正确
- 若 y s < 0 ys \lt 0 ys<0,则预测错误
这样, y s ys ys和回归模型中残差 s − y s - y s−y非常类似,以 y s ys ys为自变量作图,方便理解。
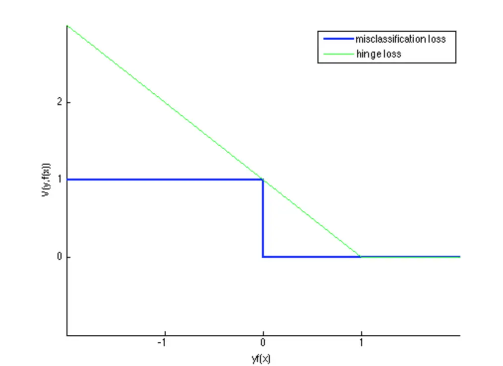
0-1 Loss
0-1 Loss很直观,如果误分类则误差为1,否则为0。
L ( y , s ) = { 0 , y s ≥ 0 1 , y s < 0 L(y, s) = \begin{cases} 0, && ys \ge 0\\ 1, && ys \lt 0 \end{cases} L(y,s)={0,1,ys≥0ys<0
有两个明显的问题
- 0-1 Loss对每个误分类点惩罚相同,即使错的比较离谱(ys远小于0)
- 0-1 Loss不连续、非凸、不可导,梯度优化算法不适用
所以实际模型中0-1 Loss用的很少,后续介绍的误差,多数可看做0-1 Loss的一个上界。
Cross Entropy Loss
Cross Entropy Loss是非常重要的损失函数,也是应用最多的分类损失函数之一。根据label的表示方式,一般有两种常见形式。
如果label表示为 { 1 , 0 } \{1, 0\} {1,0},形式如下:
L ( y , y ^ ) = − [ y l o g ( y ^ ) + ( 1 − y ) l o g ( 1 − y ^ ) ] L(y, \hat y) = -[ylog(\hat y) + (1 - y)log(1 - \hat y)] L(y,y^)=−[ylog(y^)+(1−y)log(1−y^)]
简单看其来由。模型输出预测类别的概率
p = { p ( y = 1 ∣ x ) = y ^ p ( y = 0 ∣ x ) = 1 − y ^ p = \begin{cases} p(y = 1|x) = \hat y \\ p(y = 0|x) = 1 - \hat y \end{cases} p={p(y=1∣x)=y^p(y=0∣x)=1−y^
以上可整合到一个公式中
p ( y ∣ x ) = y ^ y ( 1 − y ^ ) ( 1 − y ) p(y|x) = \hat y^y(1 - \hat y)^{(1 - y)} p(y∣x)=y^y(1−y^)(1−y)
根据极大似然估计原理,我们希望p越大越好,为了方便计算,同时引入负对数(不影响单调性)。
L ( y , y ^ ) = − l o g ( p ( y ∣ x ) ) = − [ y l o g ( y ^ ) + ( 1 − y ) l o g ( 1 − y ^ ) ] L(y, \hat y) = -log(p(y|x)) = -[ylog(\hat y) + (1 - y)log(1 - \hat y)] L(y,y^)=−log(p(y∣x))=−[ylog(y^)+(1−y)log(1−y^)]
其中
y ^ = 1 1 + e − s \hat y = \frac {1}{1 + e^{-s}} y^=1+e−s1
代入可得出
$$
L(y, \hat y) = \begin{cases}
- log(\hat y) = log(1 + e^{-s}) && y = 1 \
- log(1 - \hat y) = log(1 + e^s) && y = 0
\end{cases}
$$
当y=1时,s越大loss越小;当y=0时,s越小loss越小,make sense。
如果label表示为 { + 1 , − 1 } \{+1, -1\} {+1,−1},形式如下:
L ( y , y ^ ) = l o g ( 1 + e − y s ) L(y, \hat y) = log(1 + e^{-ys}) L(y,y^)=log(1+e−ys)
其实上述式子完全等价,只不过将y=1或y=0两种情况整合到一起。ys的符号反映预测准确性,其数值大小反映预测置信度。
交叉熵损失在实数域内,Loss近似线性变化。尤其是当 ys << 0 的时候,Loss 更近似线性。这样,模型受异常点的干扰就较小。 而且交叉熵 Loss 连续可导,便于求导计算,应用比较广泛。
Hinge Loss
The hinge loss is used for maximum-margin classification, most notably for support vector machines (SVMs).
L ( y , s ) = m a x ( 0 , 1 − y s ) L(y, s) = max(0, 1 - ys) L(y,s)=max(0,1−ys)
Hinge Loss名字很象形,其形状类似合页。一般用于SVM中,体现SVM距离最大化思想。当Loss大于0时,是线性函数,可以用梯度优化算法。此外 y s > 1 ys > 1 ys>1损失皆为0,可以带来稀疏解,使得SVM仅通过少量支持向量就能确定最终超平面。

Exponential Loss
指数损失,多用于AdaBoost中,其它算法中用的较少。
L ( y , s ) = e − y s L(y, s) = e^{-ys} L(y,s)=e−ys
Modified Huber Loss
Huber Loss整合MAE和MSE的优点,稍作改进,同样可用于分类问题,称为Modified Huber Loss。
L ( y , s ) = { m a x ( 0 , 1 − y s ) 2 , y s ≥ − 1 − 4 y s , y s < − 1 L(y, s) = \begin {cases} max(0, 1 - ys)^2, && ys \ge -1 \\ -4ys, && ys \lt -1 \end{cases} L(y,s)={max(0,1−ys)2,−4ys,ys≥−1ys<−1
该函数分三段
- [ − I n f , − 1 ] [-Inf, -1] [−Inf,−1]线性
- [ − 1 , 1 ] [-1, 1] [−1,1]二次
- [ 1 , I n f ] [1, Inf] [1,Inf]常数0
分类问题损失函数对比
对比不同损失函数随ys的变化趋势。有一点值得注意,就是各个损失函数在 y s ys ys很小时,损失一般不超过线性(指数损失除外),否则对异常值太敏感。


本文介绍了回归问题中的绝对值损失、平方损失和Huber损失,以及分类问题中的0-1 Loss、Cross Entropy Loss、Hinge Loss和Exponential Loss。重点探讨了各类损失函数的特点和应用场景,例如平方损失对异常点敏感,而Huber损失结合了L1和L2的优点。Cross Entropy Loss因连续可导和对异常点干扰小而广泛应用。
1万+

被折叠的 条评论
为什么被折叠?



