Django类视图
第一章 定义类视图
1.1 类视图引入
以函数的方式定义的视图称为函数视图,函数视图便于理解。但是遇到一个视图对应的路径提供了多种不同HTTP请求方式的支持时,便需要在一个函数中编写不同的业务逻辑,代码可读性与复用性都不佳。
def register(request):
"""处理注册"""
# 获取请求方法,判断是GET/POST请求
if request.method == 'GET':
# 处理GET请求,返回注册页面
return render(request, 'register.html')
else:
# 处理POST请求,实现注册逻辑
return HttpResponse('这里实现注册逻辑')
在Django中也可以使用类来定义一个视图,称为类视图。
使用类视图可以将视图对应的不同请求方式以类中的不同方法来区别定义。如下所示
from django.views.generic import View
class RegisterView(View):
"""类视图:处理注册"""
def get(self, request):
"""处理GET请求,返回注册页面"""
return render(request, 'register.html')
def post(self, request):
"""处理POST请求,实现注册逻辑"""
return HttpResponse('这里实现注册逻辑')
类视图的好处:
- 代码可读性好
- 类视图相对于函数视图有更高的复用性, 如果其他地方需要用到某个类视图的某个特定逻辑,直接继承该类视图即可
1.2 类视图使用
定义类视图需要继承自Django提供的父类View,可使用from django.views.generic import View或者from django.views.generic.base import View 导入,定义方式如上所示。
配置路由时,使用类视图的as_view()方法来添加。
# 总路由
urlpatterns = [
# 类视图:注册
url(r'^demoview', views.DemoView.as_view()),
]
总结:
- 定义类继承自View, 类里实现get post方法对应http的GET POST
class DemoView(View):
def get(self, request):
...
- 路由 类.as_view()
url(r'^demoview', views.DemoView.as_view()),
第二章 类视图原理
@classonlymethod
def as_view(cls, **initkwargs):
"""
Main entry point for a request-response process.
"""
...省略代码...
def view(request, *args, **kwargs):
self = cls(**initkwargs)
if hasattr(self, 'get') and not hasattr(self, 'head'):
self.head = self.get
self.request = request
self.args = args
self.kwargs = kwargs
# 调用dispatch方法,按照不同请求方式调用不同请求方法
return self.dispatch(request, *args, **kwargs)
...省略代码...
# 返回真正的函数视图
return view
def dispatch(self, request, *args, **kwargs):
# Try to dispatch to the right method; if a method doesn't exist,
# defer to the error handler. Also defer to the error handler if the
# request method isn't on the approved list.
if request.method.lower() in self.http_method_names: # 判断请求方法是否在http_method_names列表中
handler = getattr(self, request.method.lower(), self.http_method_not_allowed) # handler得到一个函数的引用
else:
handler = self.http_method_not_allowed
return handler(request, *args, **kwargs)
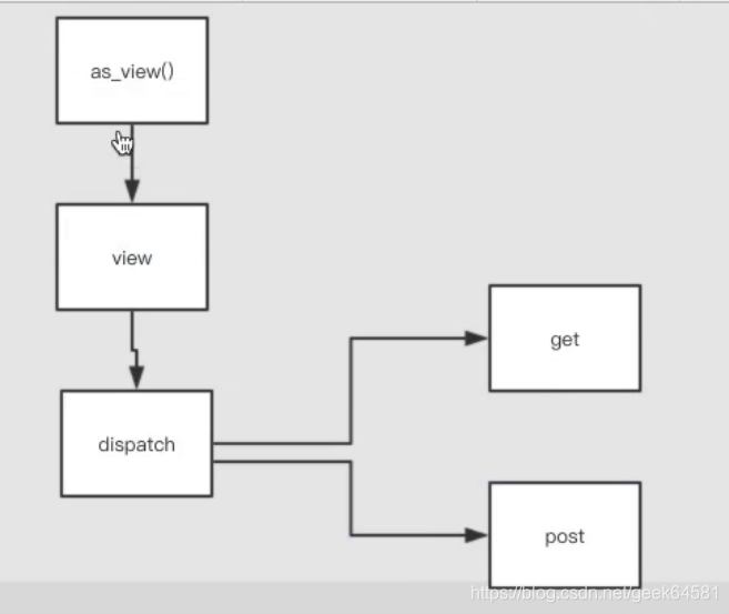
- 调用流程 as_view–>view–>dispatch
- getattr(‘对象’,‘字符串’,‘默认返回值’)


第三章 类视图添加装饰器
3.1 类视图使用装饰器
为类视图添加装饰器,可以使用两种方法。
为了理解方便,我们先来定义一个为函数视图准备的装饰器(在设计装饰器时基本都以函数视图作为考虑的被装饰对象),及一个要被装饰的类视图。
def my_decorator(func):
def wrapper(request, *args, **kwargs):
print('自定义装饰器被调用了')
print('请求路径%s' % request.path)
return func(request, *args, **kwargs)
return wrapper
class DemoView(View):
def get(self, request):
print('get方法')
return HttpResponse('ok')
def post(self, request):
print('post方法')
return HttpResponse('ok')
3.2 在类视图中装饰
在类视图中使用为函数视图准备的装饰器时,不能直接添加装饰器,需要使用method_decorator将其转换为适用于类视图方法的装饰器。
method_decorator装饰器使用name参数指明被装饰的方法
# 为全部请求方法添加装饰器
@method_decorator(my_decorator, name='dispatch')
class DemoView(View):
def get(self, request):
print('get方法')
return HttpResponse('ok')
def post(self, request):
print('post方法')
return HttpResponse('ok')
# 为特定请求方法添加装饰器
@method_decorator(my_decorator, name='get')
class DemoView(View):
def get(self, request):
print('get方法')
return HttpResponse('ok')
def post(self, request):
print('post方法')
return HttpResponse('ok')
如果需要为类视图的多个方法添加装饰器,但又不是所有的方法(为所有方法添加装饰器参考上面例子),可以直接在需要添加装饰器的方法上使用method_decorator,如下所示
from django.utils.decorators import method_decorator
# 为特定请求方法添加装饰器
class DemoView(View):
@method_decorator(my_decorator) # 为get方法添加了装饰器
def get(self, request):
print('get方法')
return HttpResponse('ok')
@method_decorator(my_decorator) # 为post方法添加了装饰器
def post(self, request):
print('post方法')
return HttpResponse('ok')
def put(self, request): # 没有为put方法添加装饰器
print('put方法')
return HttpResponse('ok')
第四章 类视图Mixin扩展类
使用面向对象多继承的特性,可以通过定义父类(作为扩展类),在父类中定义想要向类视图补充的方法,类视图继承这些扩展父类,便可实现代码复用。
定义的扩展父类名称通常以Mixin结尾。
举例如下:
class MyDecoratorMixin(object):
@classmethod
def as_view(cls, *args, **kwargs):
view = super().as_view(*args, **kwargs)
view = my_decorator(view)
return view
class DemoView(MyDecoratorMixin, View):
def get(self, request):
print('get方法')
return HttpResponse('ok')
def post(self, request):
print('post方法')
return HttpResponse('ok')
class ListModelMixin(object):
"""
list扩展类
"""
def list(self, request, *args, **kwargs):
...
class CreateModelMixin(object):
"""
create扩展类
"""
def create(self, request, *args, **kwargs):
...
class BooksView(CreateModelMixin, ListModelMixin, View):
"""
同时继承两个扩展类,复用list和create方法
"""
def get(self, request):
self.list(request)
...
def post(self, request):
self.create(request)
...
多继承的继承顺序

本文详细介绍了Django中的类视图,包括类视图的引入和优势,如何定义和使用类视图,以及类视图的工作原理。此外,还讨论了如何为类视图添加装饰器,并介绍了利用Mixin进行类视图的扩展,以提高代码复用性和可读性。
298





