110
题目
给定一个二叉树,判断它是否是高度平衡的二叉树。
本题中,一棵高度平衡二叉树定义为:
一个二叉树每个节点 的左右两个子树的高度差的绝对值不超过 1 。
示例 1:

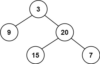
输入:root = [3,9,20,null,null,15,7] 输出:true
示例 2:

输入:root = [1,2,2,3,3,null,null,4,4] 输出:false
示例 3:
输入:root = [] 输出:truet
题解
/**
* Definition for a binary tree node.
* public class TreeNode {
* int val;
* TreeNode left;
* TreeNode right;
* TreeNode() {}
* TreeNode(int val) { this.val = val; }
* TreeNode(int val, TreeNode left, TreeNode right) {
* this.val = val;
* this.left = left;
* this.right = right;
* }
* }
*/
class Solution {
public boolean isBalanced(TreeNode root) {
return getHeight(root) != -1;
}
private int getHeight(TreeNode root) {
if (root == null) {
return 0;
}
int left = getHeight(root.left);
if (left == -1) { //高度必定为正数,不平衡返回-1
return -1;
}
int right = getHeight(root.right);
if (right == -1 || Math.abs(left - right) > 1) {
return -1;
}
return Math.max(left, right) + 1; //二叉树平衡,返回高度
}
}
199
题目
给定一个二叉树的 根节点 root,想象自己站在它的右侧,按照从顶部到底部的顺序,返回从右侧所能看到的节点值。
示例 1:

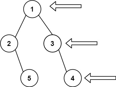
输入: [1,2,3,null,5,null,4] 输出: [1,3,4]
示例 2:
输入: [1,null,3] 输出: [1,3]
示例 3:
输入: [] 输出: []
题解
/**
* Definition for a binary tree node.
* public class TreeNode {
* int val;
* TreeNode left;
* TreeNode right;
* TreeNode() {}
* TreeNode(int val) { this.val = val; }
* TreeNode(int val, TreeNode left, TreeNode right) {
* this.val = val;
* this.left = left;
* this.right = right;
* }
* }
*/
class Solution {
List<Integer> ans = new ArrayList<>();
public List<Integer> rightSideView(TreeNode root) {
bfs(root, 0);
return ans;
}
private void bfs(TreeNode root, int depth) {
if (root == null) {
return;
}
if (depth == ans.size()) {
ans.add(root.val);
}
//递归完一层 depth加一
bfs(root.right, depth + 1);
bfs(root.left, depth + 1);
}
}
博客围绕LeetCode上的两道二叉树题目展开。一是判断给定二叉树是否为高度平衡二叉树,即每个节点左右子树高度差绝对值不超1;二是给定二叉树根节点,返回从右侧看到的节点值。博客给出了题目描述及示例,还将给出题解。
1129

被折叠的 条评论
为什么被折叠?



