203
题目
给你一个链表的头节点 head 和一个整数 val ,请你删除链表中所有满足 Node.val == val 的节点,并返回 新的头节点 。
示例 1:

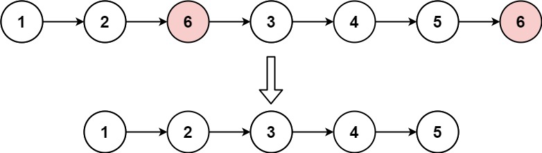
输入:head = [1,2,6,3,4,5,6], val = 6 输出:[1,2,3,4,5]
示例 2:
输入:head = [], val = 1 输出:[]
示例 3:
输入:head = [7,7,7,7], val = 7 输出:[]
题解
/**
* Definition for singly-linked list.
* public class ListNode {
* int val;
* ListNode next;
* ListNode() {}
* ListNode(int val) { this.val = val; }
* ListNode(int val, ListNode next) { this.val = val; this.next = next; }
* }
*/
class Solution {
public ListNode removeElements(ListNode head, int val) {
ListNode dummy = new ListNode(0,head);
ListNode cur = dummy;
while (cur.next != null) {
if (cur.next.val == val) {
cur.next = cur.next.next;
} else {
cur = cur.next;
}
}
return dummy.next;
}
}
104
题目
给定一个二叉树 root ,返回其最大深度。
二叉树的 最大深度 是指从根节点到最远叶子节点的最长路径上的节点数。
示例 1:

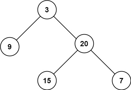
输入:root = [3,9,20,null,null,15,7] 输出:3
示例 2:
输入:root = [1,null,2] 输出:2
题解
/**
* Definition for a binary tree node.
* public class TreeNode {
* int val;
* TreeNode left;
* TreeNode right;
* TreeNode() {}
* TreeNode(int val) { this.val = val; }
* TreeNode(int val, TreeNode left, TreeNode right) {
* this.val = val;
* this.left = left;
* this.right = right;
* }
* }
*/
class Solution {
//左右分叉
public int maxDepth(TreeNode root) {
if (root == null) {
return 0;
}
int l_depth = maxDepth(root.left);
int r_depth = maxDepth(root.right);
return Math.max(l_depth,r_depth) + 1;
}
}
/**
* Definition for a binary tree node.
* public class TreeNode {
* int val;
* TreeNode left;
* TreeNode right;
* TreeNode() {}
* TreeNode(int val) { this.val = val; }
* TreeNode(int val, TreeNode left, TreeNode right) {
* this.val = val;
* this.left = left;
* this.right = right;
* }
* }
*/
class Solution {
//一层一层
private int ans = 0;
public int maxDepth(TreeNode root) {
dfs(root,0);
return ans;
}
private void dfs(TreeNode node, int cnt) {
if (node == null) {
return;
}
cnt++;
ans = Math.max(ans, cnt);
dfs(node.left,cnt);
dfs(node.right,cnt);
}
}
文章讲述了如何在链表和二叉树中删除具有特定值的节点,并分别提供了两种方法:链表使用迭代删除,二叉树通过递归计算最大深度。
655

被折叠的 条评论
为什么被折叠?



