83
题目
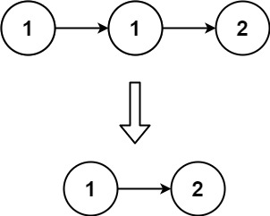
给定一个已排序的链表的头 head , 删除所有重复的元素,使每个元素只出现一次 。返回 已排序的链表 。
示例 1:

输入:head = [1,1,2] 输出:[1,2]
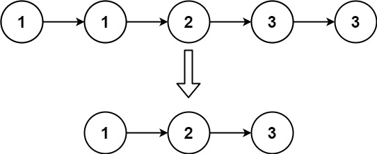
示例 2:

输入:head = [1,1,2,3,3] 输出:[1,2,3]
题解
/**
* Definition for singly-linked list.
* public class ListNode {
* int val;
* ListNode next;
* ListNode() {}
* ListNode(int val) { this.val = val; }
* ListNode(int val, ListNode next) { this.val = val; this.next = next; }
* }
*/
class Solution {
public ListNode deleteDuplicates(ListNode head) {
if (head == null) {
return null;
}
ListNode cur = head;
while (cur.next != null) {
if (cur.val == cur.next.val) {
cur.next = cur.next.next;
} else {
cur = cur.next;
}
}
return head;
}
}
82
题目
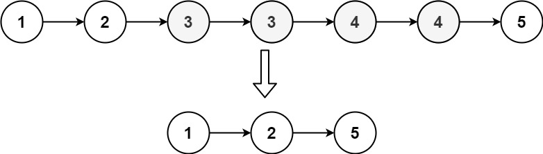
给定一个已排序的链表的头 head , 删除原始链表中所有重复数字的节点,只留下不同的数字 。返回 已排序的链表 。
示例 1:

输入:head = [1,2,3,3,4,4,5] 输出:[1,2,5]
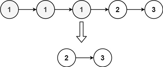
示例 2:

输入:head = [1,1,1,2,3] 输出:[2,3]
题解
/**
* Definition for singly-linked list.
* public class ListNode {
* int val;
* ListNode next;
* ListNode() {}
* ListNode(int val) { this.val = val; }
* ListNode(int val, ListNode next) { this.val = val; this.next = next; }
* }
*/
class Solution {
public ListNode deleteDuplicates(ListNode head) {
//可能会把第一个元素删除,新建哨兵节点
ListNode dummy = new ListNode(0,head);
ListNode cur = dummy;
while (cur.next != null && cur.next.next != null) {
int val = cur.next.val;
//有两个以上重复元素
if (val == cur.next.next.val) {
//原始的next的val与删除后next的val比较
while (cur.next != null && val == cur.next.val) {
cur.next = cur.next.next;
}
} else {
cur = cur.next;
}
}
return dummy.next;
}
}
该文章介绍了如何在给定已排序链表中删除所有重复的数字,保留每个数字仅出现一次,提供了两种解决方案,一种是直接遍历,另一种是使用哨兵节点辅助处理
984

被折叠的 条评论
为什么被折叠?



