给你一个链表,删除链表的倒数第 n 个结点,并且返回链表的头结点。
示例 1:

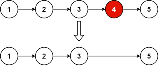
输入:head = [1,2,3,4,5], n = 2 输出:[1,2,3,5]
示例 2:
输入:head = [1], n = 1 输出:[]
示例 3:
输入:head = [1,2], n = 1 输出:[1]
解答(双指针)
/**
* Definition for singly-linked list.
* struct ListNode {
* int val;
* struct ListNode *next;
* };
*/
struct ListNode* removeNthFromEnd(struct ListNode* head, int n){
//申请一块空间
struct ListNode* pre = malloc(sizeof(struct ListNode));
//给新的空间赋值
pre->val = 0;
pre->next = head;
//定义双指针
struct ListNode* p = head;
struct ListNode* q = pre;
//p指针移动到距离q n个长度的地方
for (int i = 0; i < n; i++) {
p = p->next;
}
//双指针一起移动直到p指向NULL
while(p) {
p = p->next;
q = q->next;
}
//删除结点
q->next = q->next->next;
//释放申请的空间
struct ListNode* res = pre->next;
free(pre);
return res;
}
1 2 3 4 5 n=2
0 1 2 3 4 5
| |
q p
0 1 2 3 4 5
| |
q p
0 1 2 3 4 5
| |
q p
0 1 2 3 5
1 2 3 5
2454

被折叠的 条评论
为什么被折叠?



