Handler面试笔记
- 什么是Handler
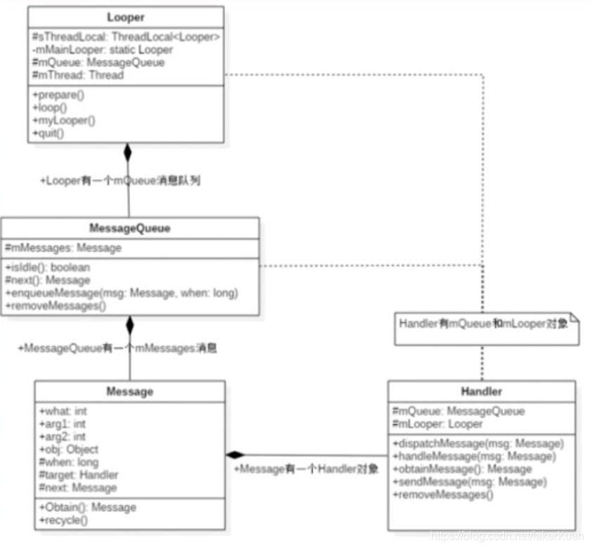
Handler通过发送和处理Message和Runnable对象来关联相应线程的MessageQueue- 可以让对应的Message和Runnable在未来的某个时间点进行相应处理
- 让自己想要处理的耗时操作放在子线程,让更新UI的操作放在主线程
- Handler的使用方法
- post(runnable)
- sendMessage(message)


- Handler引起的内存泄露以及解决办法
原因:静态内部类持有外部类的匿名引用,导致外部Activity无法释放
解决办法:Handler内部持有外部Activity的弱引用,并把Handler改为静态内部类,mHandler.removeCallback()
AsyncTask
- 什么是AsyncTask
它本质上就是一个封装了线程池和Handler的异步框架 - AsyncTask的使用方法
三个参数、五个方法
OKhttp

ANR
- 什么是ANR
Application Not Responding - 造成ANR的主要原因
- 主线程被IO操作阻塞
- 主线程存在耗时的计算
- Android中哪些操作是在主线程呢?
- Activity的所有生命周期回调都是执行在主线程的
- Service默认是执行在主线程
- BroadcastReceiver的onReceive回调是执行在主线程的
- 没有使用子线程的Looper的Handler的handleMessage,post(runnable)是执行在主线程的
- AsyncTask的回调中除了doInBackground,其他都是执行在主线程
- 如何解决ANR
* 使用AsyncTask处理耗时IO操作
* 使用Thread或者HandlerThread提高优先级
* 使用handler来处理工作线程的耗时任务
* Activity的onCreate和onResume回调中尽量避免耗时的代码
OOM
- 什么是oom?
- 当前占用的内存加上我们申请的内存资源超过了Dalvik虚拟机的最大内存限制就会抛出的out of memory异常
- 内存溢出、内存抖动、内存泄露
- 避免在onDraw方法里执行对象的创建
- 谨慎使用多进程
bitmap
- recycle
- LRU
- 计算inSampleSize
- 缩略图
- 三级缓存
UI卡顿
- 60fps->16ms
- overdraw
- UI卡顿原因分析
- 人为在UI线程中做轻微耗时操作,导致UI线程卡顿
- 布局Layout过于复杂,无法在16ms内完成渲染
- 同一时间动画执行的次数过多,导致CPU或GPU负载过重
- View过度绘制,导致某些像素在同一帧时间内被绘制多次,从而使CPU或GPU负载过重
- View频繁的出发measure Layout ,导致measure Layout累计耗时过多及整个View频繁的重新渲染
- 内存频繁出发GC,导致暂时阻塞渲染操作
- 冗余资源以及逻辑等导致加载和执行缓慢
- ANR
- UI卡顿总结
- 布局优化
- 列表及Adapter优化
- 背景和图片等内存分配优化
- 避免ANR
内存泄露
- Java内存的分配策略
- 静态存储区
- 栈区
- 堆区
- Java中的内存泄露
- 内存泄露是指无用对象(不再使用的对象)持续占用内存或无用对象的内存得不到及时释放,从而造成的内存空间浪费称为内存泄露
- Android内存泄露
- 单例
- 匿名内部类
- handler
- 避免使用static变量
- 资源未关闭造成的内存泄露
- AsyncTask造成的内存泄露
内存管理
* 内存优化方法
* 当Service完成任务后,尽量停止它
* 在Ui不可见的时候,释放掉一些只有UI使用的资源
* 在系统内存紧张的时候,尽可能多的释放掉一些非重要资源
* 避免滥用Bitmap导致的内存浪费
* 使用针对内存优化过的数据容器
* 避免使用依赖注入的框架
* 使用zip对齐的APK
* 使用多进程
冷启动优化
- 冷启动是什么
冷启动就是启动进程前,系统中没有该应用的任何进程信息
热启动:用户使用返回键退出应用,然后马上又重新启动应用 - 冷启动时间的计算
这个时间值从应用启动(创建进程)开始计算,到完成视图的第一次绘制(即Activity内容对用户可见)为止。 - 冷启动流程
Zygote进程中fork创建出一个新的进程
创建和初始化Application类、创建MainActivity类
inflate布局、当onCreate、onStart、onResume方法都走完
contentView的measure、Layout、draw显示在界面上 - 冷启动流程总结
Application的构造器方法–》attachBaseContext()–》onCreate()–》Activity的构造方法–》onCreate()–》配置主题中背景等属性–》onStart()–》onResume()–》测量布局绘制显示在界面上 - 如何对冷启动时间进行优化
- 减少onCreate()方法的工作量
- 不要让Application参与业务的操作
- 不要在Application进行耗时操作
- 不要以静态变量的方式在Application中保存数据
- 布局、mainThread
其他优化
- Android中不用静态变量存储数据
- 静态变量等数据由于进程已经被杀死而被初始化
- 使用其他数据传输方式:文件、sp、contentProvider
- sharePreference问题
- 不能跨进程同步
- 存储sharepreference的文件过大问题
- 内存对象序列化
序列化:将对象的状态信息转换为可以存储或传输的形式的过程- Serializeable是Java的序列化方式,Parcelable是Android特有的序列化方式
- 在使用内存的时候,Parcelable比Serializeable性能高
- Serializeable在序列化的时候会产生大量的临时变量,从而引起频繁的GC
- Parcelable不能使用在要将数据存储在磁盘上的情况
MVC、MVP、MVVM
-
MVC
- M: 业务逻辑处理
- V:处理数据的显示部分
- C:Activity处理用户交互问题
-
MVC特点
- 耦合性低
- 可扩展性好
- 模块职责划分明确
-
MVC总结
- 利用MVC设计模式,使得项目有了很好的可扩展和维护性
- Controller(控制器)是一个中间桥梁的作用
- 什么时候适合使用MVC设计模式?-----项目比较大的时候
-
MVP定义
- M:依然是业务逻辑和实体模型
- V:对应于Activity,负责View的绘制以及与用户交互
- P:负责完成View与Modle间的交互
对比

- MVVM
因为我看的资料是四年前的,那时候Android开发领域MVVM还不流行所以一笔带过,关于MVVM的内容我会在其他文章中详细整理

- View:对应于Activity和XML,负责View的绘制以及与用户交互
- Model:实体模型
- ViewModel:负责完成View与Model间的交互,负责业务逻辑
Android插件化
- 插件化来由
- 插件化要解决的问题
- 动态加载APK
- 资源加载
- 代码加载
Android热更新
- 热更新流程
- 线上检测到严重的crash
- 拉出bugfix分支并在分支上修复问题
- jenkins构建和补丁生成
- app通过推送或主动拉取补丁文件
- 将bugfix代码合到master上
- 主流热更新框架
- Dexposed
- AndFix
- Nuwa
- Android类加载机制
- DexClassloader
- PathClassloader
- 热修复机制:
1. dexElements
2. ClassLoader会遍历这个数组
进程保活
- Android进程的优先级
Foreground process 》Visible process 》Service process 》background process 》Empty process - Android进程的回收策略
- Low memory killer:通过一些比较复杂的评分机制,对进程进行打分,然后将分数高的进程判定为bad进程,杀死并释放内存
- OOM_ODJ:判别进程的优先级
- 进程保活
因为我看的资料是4年前的 有些进程保活方法已经落后了 后面我会在其他文章中专门整理进程保活方案。

本文深入探讨了Android开发中的关键概念和技术,包括Handler机制、内存管理、冷启动优化、序列化方式选择、设计模式应用以及插件化和热更新策略等。
1637





