定义
- 类似于树的
先根遍历,但访问结点前要判断此节点是否被访问过。 - 深度优先遍历过程
假设初始状态是一个无向图中所有的结点都未被访问,
从图中某个顶点 v 出发,访问此顶点,
然后依次对 v 的未被访问的邻接点进行 深度优先遍历图(递归),直至图中所有和 v 有路径相通的顶点都被访问到;
若此时图中还有顶点未被访问,则另选图中未被访问的顶点为始点,重复上述过程,直至所有的顶点都被访问过。
(对每个结点来说都是一个递归的过程)
图例
-
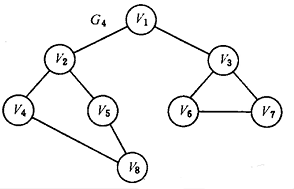
对 G4 进行
深度优先遍历

假设从顶点 v1 出发进行搜索,
在访问了顶点 v1 之后,选择邻接点 v2。
v2 未曾被访问,从 v2 出发进行搜索。
以此类推,依次访问 v4 ,v8 ,v5 。
由于 v5 的邻接点都已被访问过 ,因此从 v5 返回 v8 。同理依次返回到 v4 ,v2 ,v1 。
v1 的另一个邻接点 v3 未被访问,接下来依次访问 v3 ,v6 ,v7。 -
G4 深度优先搜索的顶点访问序列
v1->v2->v4->v8->v5->v3->v6->v7 -
在访问过程中,为了区分顶点是否已经被访问,需附设
访问标志数组visited [ 0 … n-1 ]
深度优先遍历算法
Boolean visited[MAX]; // 访问标志数组
Status (*VisitFunc)(int v); // 函数变量
// 对 图G 做深度优先遍历
void DFSTraverse(Graph G, Status (*Visit)(int v))
{
VisitFunc = visit;
// 访问标志数组初始化
for(v=0; v<G.vexnum; v++)
{
visited[v] = FALSE;
}
// 防止是非连通图,遍历所有结点
for(v=0; v<G.vexnum; v++)
{
if(!visited[v])
{
DFS(G, v);
}
}
}
// 从 图G 的第 v 个顶点出发,递归深度优先遍历图 G
void DFS(Graph G, int v)
{
visited[v] = TRUE;
VisitFunc(v);
for(w=FirstAdjVex(G, v)
w>=0;
w=NextAdjVex(G, v, w))
{
if(!visited[w])
{
DFS(G, w);
}
}
}
- 遍历图的实质
对每个顶点查找其邻接点的过程, 耗费的时间取决于所采用的存储结构
当用二维数组表示邻接矩阵作为图的存储结构时,查找每个顶点的邻接点所需时间是 O( n2 )
采用邻接表存储结构时,查找每个顶点的邻接点所需时间为 O( e ),深度优先搜索遍历图的时间复杂度为 O( n + e )。访问过的顶点不会再访问,因此访问顶点本身的时间复杂度为 O(n)
815

被折叠的 条评论
为什么被折叠?



