-
广度优先搜索遍历类似于树的按层次遍历的过程 -
广度优先搜索遍历过程
1、假设从图中某顶点 v 出发,在访问了 v 之后依次访问 v 的各个未曾访问过的邻接点,
2、然后分别从这些邻接点出发,依次访问它们的邻接点。使得先被访问的顶点的邻接点先于后被访问的顶点的邻接点被访问。
3、完毕后若图中还有未被访问的顶点,那么另选一个未曾被访问的顶点作起始点,重复上述过程直到所有的顶点都被访问。 -
广度优先搜索遍历过程总结
是以某个顶点 v 为起始点,由近至远,依次访问和 v 有路径相通且路径长度为 1 ,2 ,… 的顶点 -
和深度优先搜索类似,广度优先搜索过程中也需要一个访问标志数组。
-
利用队列来存储已被访问的路径长度为 1 ,2 ,… 的顶点,实现广度优先搜索的按层次遍历。
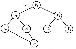
广度优先搜索图例

- 广度优先搜索访问序列为
v1->v2->v3->v4->v5->v6->v7->v8
代码算法
void BFSTraverse(Graph G, Status (*Visit)(int v))
{
for(v=0; v<G.vexnum; v++)
{
visited[v] = FALSE;
}
InitQueue(Q);
for(v=0; v<G.vexnum; v++)
{
if(!visited[v])
{
visited[v] = TRUE;
Visit(v);
EnQueue(Q, v);
while(!QueueEmpty(Q))
{
DeQueue(Q, u);
for(w=FirstAdjVex(G, u);
w>=0;
w=NextAdjVex(G, u, w);)
{
if(!visited[w])
{
visited[w] = TRUE;
Visit(w);
EnQueue(Q, w);
}
}
}
}
}
}
- 代码分析
每个顶点至多进一次队列。
遍历图的实质就是通过边或者弧来找邻接点的过程。
广度优先搜索遍历图的时间复杂度和深度优先搜索遍历相同;
二者不同之处是对顶点的访问顺序不同。
1849

被折叠的 条评论
为什么被折叠?



