并查集 是一种树型的数据结构,用于处理一些不相交集合的合并和查询问题。在使用中常常以森林来表示。
基本结构
并查集也是用来维护集合的,和前面学习的 set 不同之处在于,并查集能很方便地同时维护很多集 合。如果用 set 来维护会非常的麻烦。并查集的核心思想是记录每个结点的父亲结点是哪个结点。
- 初始化
void init() {
for (int i = 1; i <= n; ++i) {
fa[i] = i;
}
}
- 查找
int get(int x) {
if (fa[x] == x) {
// x 结点就是根结点
return x;
}
return get(fa[x]); // 返回父结点的根结点 }
- 合并
void merge(int x, int y) {
x = get(x);
y = get(y);
if (x != y) { // 不在同一个集合
fa[y] = x;
}
}
并查集实现
首先,我们把要用的变量初始化。
int fa[110];
int n, m;
我们先把并查集的框架实现好,便于后面直接调用。我们先实现初始化,用一个 init() 函数来实现初 始化。初始化实际上就是把每个点的父亲结点赋值为自己。
void init() {
for (int i = 1; i <= n; i++) {
fa[i] = i;
}
}
接下来,我们继续实现get函数
int get(int x) {
if (fa[x] == x) {
return x;
}
return get(fa[x]);
}
接下里我们实现 merge 函数,合并两个结点到一个集合。合并的方法很简单,先找到各自的根结点, 如果根结点不相同,让其中一个根结点的父亲变成另外一个根结点。
void merge(int x, int y) {
x = get(x);
y = get(y);
if (x != y) { fa[y] = x;
}
}
这一步我们接收输入,在接收一组关系以后,我们通过 merge 合并他们到一个集合。注意,在这之 前,我们需要先初始化并查集。初始化要在 输入之后,这是平时写程序很容易错误的一个点。 在 main 函数里面写下
cin >> n >> m;
init();
for (int i = 0; i < m; i++) {
int a, b;
cin >> a >> b;
merge(a, b);
}
最后我们统计几何的个数。统计方法很简单,只需要统计集合的根结点的数量。
int cnt = 0;
for (int i = 1; i <= n; i++) {
if (fa[i] == i) {
cnt++;
}
}
cout << cnt << endl;
最后,再来看一看运行一下,看一看结果。
6 4 1 2 2 3 1 3 4 5
路径压缩
并查集的时间复杂度很高,最坏可以达到O(n),所以,我们更适用于路劲压缩的并查集,这一回,就来给大家讲一讲路劲压缩后的并查集。
路径压缩 的思想是,我们只关心每个结点所在集合的根结点,而并不太关心树的真正的结构是怎么样 的。这样我们在一次查询的时候,可以直接把查询路径上的所有结点的 都赋值成为根结点。实现 这一步只需要在我们之前的查询函数上面进行很小的改动。
int get(int x) {
if (fa[x] == x) {
// x 结点就是根结点
return x;
}
return fa[x] = get(fa[x]); // 返回父结点的根结点,并令当前结点父结点直接为根结点
}
下面是进过比较的并查集(右图为路径压缩)

联通性
之前我们判断无向图的连通性的时候(有向图的连通性我们会在之后的课程介绍),用的是 DFS 的方 法。而用并查集来判断无向图的连通性,只需要把每一条边连接的两个点合并到一个集合就可以了,都 不必存图,最后如果集合个数为 ,说明整个图是连通的。
路径压缩的实现
#include <iostream>
using namespace std;
int fa[110];
int n, m;
void init() {
for (int i = 1; i <= n; i++) {
fa[i] = i;
}
} i
nt get(int x) {
if (fa[x] == x) {
return x;
}
return get(fa[x]);
}
void merge(int x, int y) {
x = get(x);
y = get(y);
if (x != y) {
fa[y] = x;
}
}
int main() {
cin >> n >> m;
init();
for (int i = 0; i < m; i++) {
int a, b;
cin >> a >> b;
merge(a, b);
}
int cnt = 0;
for (int i = 1; i <= n; i++) {
if (fa[i] == i) {
cnt++;
}
}
cout << cnt << endl;
return 0;
}
看一看结果
6 4 1 2 2 3 1 3 4 5
种类并查集
种类并查集是借助借助并查集来解决一系列种类查询问题。
问题描述如下,有 个人,我们不知道每个人的性别,但是有 组关系,每一组关系表示 和 是同 性或者异性,问这 组关系是否有矛盾。
这个问题,可以二分图判定来做,这里我们学习带权并查集的解法。每个点的权值我们规定只用 和 两个值,用 表示这个点和父结点同性,用 表示这个点和父结点是异性。那么在查询的时候,我们 之需要把权值对 取模。比如 和 异性, 和 异性,那么 和 同性。

int get(int x) {
if (fa[x] == x) {
return x;
}
int y = fa[x];
fa[x] = get(y);
dist[x] = (dist[x] + dist[y]) % 2;
return fa[x];
}
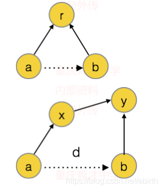
我们知道 和 的关系和 和 的关系,就可以计算出 和 的关系等于 和 和关系减去 和 的 关系,也就是 。
而如果 和 不属于同一个集合,说明他们之前的关系,假设他们现在的关系为 。这时候,我们合并 他们,这时候他们的关系如下图。

void merge(int a, int b, int d) {
int x = get(a);
int y = get(b); i
f (x == y) {
// 同一集合,已知关系
if ((dist[a] - dist[b] + 2) % 2 != d) {
// 加上 2 再对 2 取模防止出现负数
cout << "No" << endl;
}
} else {
// 未知关系
fa[x] = y;
dist[x] = (dist[b] - dist[a] + d + 2) % 2;
}
}
多种关系种类并查集
用 表示和父结点平手, 表示战胜父结点, 表示被父结点战胜。这时候权值应该对 取模。而合并的时候权值的关系还是参考之前的两个图。

本文深入探讨并查集数据结构,包括基本结构的初始化、查找和合并操作。接着,介绍了路径压缩的概念,以提高查询效率。通过实例展示了如何利用并查集判断无向图的连通性,以及在种类查询问题中的应用,如解决性别关系一致性问题。文章还涵盖了多种关系种类的并查集实现。
1268

被折叠的 条评论
为什么被折叠?



