The Hydrogen-like Atom 类氢原子波函数直观图像

本文通过Griffiths的量子力学书籍提供的资源,直观地展示了氢原子的波函数ψnlm(r,θ,ϕ),包括径向波函数Rnl(r)和球谐函数Ylm(θ,ϕ)。文章包含前几个径向波函数的表格和球谐函数的等高面图像,解释了px、py、pz轨道的形成,并提供了∣ψ∣2的等高面。此外,还探讨了如何利用奇偶性快速判断积分Ha,b′的非零项。" 20127615,1468723,Android Activity启动模式与Task、Process关系解析,"['Android开发', '任务栈', '回退栈', 'Activity管理', '应用架构']

Wave function of hydrogen-like atom

本篇文章提供一个直观的氢原子波函数图像。图片来源Griffth的量子力学书。
The wave function of the hydrogen atom is ψ n l m ( r , θ , ϕ ) = R n l ( r ) Y l m ( θ , ϕ ) \psi_{nlm}(r,\theta,\phi)=R_{nl}(r)Y_l^m(\theta,\phi) ψnlm(r,θ,ϕ)=Rnl(r)Ylm(θ,ϕ).

  1. The first few radial wave functions for R n l ( r ) R_{nl}(r) Rnl(r)
    在这里插入图片描述在这里插入图片描述

  2. Table of the first few spherical Harmonics
    在这里插入图片描述在这里插入图片描述在这里插入图片描述

  3. Orbitals table
    This table shows surfaces of constant ψ \psi ψ with − and + wave function phases shown in two different colors (arbitrarily red and blue). The p x p_x px and p y p_y py are formed by taking linear combinations of the p + 1 p_{+1} p+1 and p − 1 p_{−1} p1 orbitals (which is why they are listed under the m = ±1 label). Also, p z p_z pz are pure spherical harmonics, so the p + 1 p_{+1} p+1 and p − 1 p_{−1} p1 do not have the same shape as p z p_z pz.
    这个表格画的是 ψ \psi ψ等于某个值的等高面! p x p_x px p y p_y py p + 1 p_{+1} p+1 p − 1 p_{−1} p1的线性叠加,将 m = ± 1 m=\pm1 m=±1对应的 e ± i ϕ e^{\pm i\phi} e±iϕ改为 cos ⁡ ϕ \cos\phi cosϕ sin ⁡ ϕ \sin\phi sinϕ项。
    在这里插入图片描述
    Below is the surfaces of constant of ∣ ψ ∣ 2 |\psi|^2 ψ2.
    这个表格画的是 ∣ ψ ∣ 2 |\psi|^2 ψ2等于某个值的等高面!
    在这里插入图片描述
    为了更清楚比较,我们画了 ψ 2 , 1 , 0 \psi_{2,1,0} ψ2,1,0 ∣ ψ 2 , 1 , 0 ∣ 2 |\psi_{2,1,0}|^2 ψ2,1,02的等高线图。
    在这里插入图片描述在这里插入图片描述
    以下是画上面图片的Mathematica代码

Clear[y, n, l, m, \[CapitalPsi]]
n = 2; l = 1; m = 0;(*分别为主量子数,角量子数以及磁量子数*)
\[CapitalPsi] = 
 E^(-(Sqrt[x^2 + y^2 + z^2]/n)) (Sqrt[x^2 + y^2 + z^2]/n)^
  l LaguerreL[-1 - l + n, 1 + 2 l, (2 Sqrt[x^2 + y^2 + z^2])/
   n] SphericalHarmonicY[l, m, ArcTan[z, Sqrt[x^2 + y^2]], 
   ArcTan[x, y]]
(*未归一化的氢原子定态波函数*)
y = 0;
DensityPlot[\[CapitalPsi]\[Conjugate]*\[CapitalPsi], {x, -30, 30}, {z, -35, 35}, PlotPoints -> 500, 
 ColorFunction -> "SunsetColors", PlotLegends -> Automatic]
(*绘制y=0平面上密度图*)
Clear[y];

应用

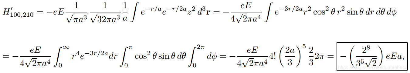
选取Griffth书上的一道例题说明。在这里插入图片描述
利用奇偶性, H a , b ′ = ∫ &lt; a ∣ z ∣ b &gt; H&#x27;_{a,b}=\int&lt;a|z|b&gt; Ha,b=<azb>,可以很快排除出只有 H 100 , 210 ′ H&#x27;_{100,210} H100,210非零。在这里插入图片描述

import numpy as np import matplotlib.pyplot as plt from pymatgen.io.vasp import Vasprun from pymatgen.core.structure import Structure from scipy.ndimage import gaussian_filter1d from scipy.spatial import cKDTree from tqdm import tqdm import matplotlib as mpl import warnings from collections import defaultdict import os import csv import argparse import multiprocessing from functools import partial import time import dill # 忽略可能的警告 warnings.filterwarnings("ignore", category=UserWarning) # 专业绘图设置 - 符合Journal of Chemical Physics要求 plt.style.use('seaborn-v0_8-whitegrid') mpl.rcParams.update({ 'font.family': 'serif', 'font.serif': ['Times New Roman', 'DejaVu Serif'], 'font.size': 12, 'axes.labelsize': 14, 'axes.titlesize': 16, 'xtick.labelsize': 12, 'ytick.labelsize': 12, 'figure.dpi': 600, 'savefig.dpi': 600, 'figure.figsize': (8, 6), 'lines.linewidth': 2.0, 'legend.fontsize': 10, 'legend.framealpha': 0.8, 'mathtext.default': 'regular', 'axes.linewidth': 1.5, 'xtick.major.width': 1.5, 'ytick.major.width': 1.5, 'xtick.major.size': 5, 'ytick.major.size': 5, }) def identify_atom_types(struct): """优化的原子型识别函数,不再区分P=O和P-O""" # 1. 初始化数据结构 p_oxygens = {"P-O/P=O": [], "P-OH": []} # 合并P-O和P=O phosphate_hydrogens = [] water_oxygens = [] water_hydrogens = [] hydronium_oxygens = [] hydronium_hydrogens = [] fluoride_atoms = [i for i, site in enumerate(struct) if site.species_string == "F"] aluminum_atoms = [i for i, site in enumerate(struct) if site.species_string == "Al"] # 2. 构建全局KDTree all_coords = np.array([site.coords for site in struct]) kdtree = cKDTree(all_coords, boxsize=struct.lattice.abc) # 3. 识别磷酸基团 p_atoms = [i for i, site in enumerate(struct) if site.species_string == "P"] phosphate_oxygens = [] for p_idx in p_atoms: # 查找P周围的O原子 (距离 < 1.6Å) neighbors = kdtree.query_ball_point(all_coords[p_idx], r=1.6) p_o_indices = [idx for idx in neighbors if idx != p_idx and struct[idx].species_string == "O"] phosphate_oxygens.extend(p_o_indices) # 4. 识别所有H原子并确定归属 hydrogen_owners = {} h_atoms = [i for i, site in enumerate(struct) if site.species_string == "H"] for h_idx in h_atoms: neighbors = kdtree.query_ball_point(all_coords[h_idx], r=1.2) candidate_os = [idx for idx in neighbors if idx != h_idx and struct[idx].species_string == "O"] if not candidate_os: continue min_dist = float('inf') owner_o = None for o_idx in candidate_os: dist = struct.get_distance(h_idx, o_idx) if dist < min_dist: min_dist = dist owner_o = o_idx hydrogen_owners[h_idx] = owner_o # 5. 分磷酸氧:带H的为P-OH,不带H的为P-O/P=O for o_idx in phosphate_oxygens: has_hydrogen = any(owner_o == o_idx for h_idx, owner_o in hydrogen_owners.items()) if has_hydrogen: p_oxygens["P-OH"].append(o_idx) else: p_oxygens["P-O/P=O"].append(o_idx) # 6. 识别水和水合氢离子 all_o_indices = [i for i, site in enumerate(struct) if site.species_string == "O"] non_phosphate_os = [o_idx for o_idx in all_o_indices if o_idx not in phosphate_oxygens] o_h_count = defaultdict(int) for h_idx, owner_o in hydrogen_owners.items(): o_h_count[owner_o] += 1 for o_idx in non_phosphate_os: h_count = o_h_count.get(o_idx, 0) attached_hs = [h_idx for h_idx, owner_o in hydrogen_owners.items() if owner_o == o_idx] if h_count == 2: water_oxygens.append(o_idx) water_hydrogens.extend(attached_hs) elif h_count == 3: hydronium_oxygens.append(o_idx) hydronium_hydrogens.extend(attached_hs) # 7. 识别磷酸基团的H原子 for o_idx in p_oxygens["P-OH"]: attached_hs = [h_idx for h_idx, owner_o in hydrogen_owners.items() if owner_o == o_idx] phosphate_hydrogens.extend(attached_hs) return { "phosphate_oxygens": p_oxygens, "phosphate_hydrogens": phosphate_hydrogens, "water_oxygens": water_oxygens, "water_hydrogens": water_hydrogens, "hydronium_oxygens": hydronium_oxygens, "hydronium_hydrogens": hydronium_hydrogens, "fluoride_atoms": fluoride_atoms, "aluminum_atoms": aluminum_atoms } def process_frame(struct, center_sel, target_sel, r_max, exclude_bonds, bond_threshold): """处理单帧结构计算""" atom_types = identify_atom_types(struct) centers = center_sel(atom_types) targets = target_sel(atom_types) if len(centers) == 0 or len(targets) == 0: return { "distances": np.array([], dtype=np.float64), "n_centers": 0, "n_targets": 0, "volume": struct.volume } center_coords = np.array([struct[i].coords for i in centers]) target_coords = np.array([struct[i].coords for i in targets]) lattice = struct.lattice kdtree = cKDTree(target_coords, boxsize=lattice.abc) k_val = min(50, len(targets)) if k_val == 0: return { "distances": np.array([], dtype=np.float64), "n_centers": len(centers), "n_targets": len(targets), "volume": struct.volume } try: query_result = kdtree.query(center_coords, k=k_val, distance_upper_bound=r_max) except Exception as e: print(f"KDTree query error: {str(e)}") return { "distances": np.array([], dtype=np.float64), "n_centers": len(centers), "n_targets": len(targets), "volume": struct.volume } if k_val == 1: if isinstance(query_result, tuple): distances, indices = query_result else: distances = query_result indices = np.zeros_like(distances, dtype=int) distances = np.atleast_1d(distances) indices = np.atleast_1d(indices) else: distances, indices = query_result valid_distances = [] for i in range(distances.shape[0]): center_idx = centers[i] for j in range(distances.shape[1]): dist = distances[i, j] if dist > r_max or np.isinf(dist): continue target_idx = targets[indices[i, j]] if exclude_bonds: actual_dist = struct.get_distance(center_idx, target_idx) if actual_dist < bond_threshold: continue valid_distances.append(dist) return { "distances": np.array(valid_distances, dtype=np.float64), "n_centers": len(centers), "n_targets": len(targets), "volume": struct.volume } def calculate_rdf_parallel(structures, center_sel, target_sel, r_max=8.0, bin_width=0.05, exclude_bonds=True, bond_threshold=1.3, workers=1): """并行计算径向分布函数""" bins = np.arange(0, r_max, bin_width) hist = np.zeros(len(bins) - 1) total_centers = 0 total_targets = 0 total_volume = 0 dill.settings['recurse'] = True func = partial(process_frame, center_sel=center_sel, target_sel=target_sel, r_max=r_max, exclude_bonds=exclude_bonds, bond_threshold=bond_threshold) with multiprocessing.Pool(processes=workers) as pool: results = [] for res in tqdm(pool.imap_unordered(func, structures), total=len(structures), desc="Calculating RDF"): results.append(res) n_frames = 0 for res in results: if res is None: continue n_frames += 1 valid_distances = res["distances"] n_centers = res["n_centers"] n_targets = res["n_targets"] volume = res["volume"] if len(valid_distances) > 0: hist += np.histogram(valid_distances, bins=bins)[0] total_centers += n_centers total_targets += n_targets total_volume += volume if n_frames == 0: r = bins[:-1] + bin_width/2 return r, np.zeros_like(r), {"position": None, "value": None} avg_density = total_targets / total_volume if total_volume > 0 else 0 r = bins[:-1] + bin_width/2 rdf = np.zeros_like(r) for i in range(len(hist)): r_lower = bins[i] r_upper = bins[i+1] shell_vol = 4/3 * np.pi * (r_upper**3 - r_lower**3) expected_count = shell_vol * avg_density * total_centers if expected_count > 1e-10: rdf[i] = hist[i] / expected_count else: rdf[i] = 0 # 使用高斯滤波替代Savitzky-Golay滤波 if len(rdf) > 10: rdf_smoothed = gaussian_filter1d(rdf, sigma=1.5) # 调整sigma控制平滑程度 else: rdf_smoothed = rdf # 计算主要峰值 peak_info = {} mask = (r >= 1.5) & (r <= 3.0) if np.any(mask) and np.any(rdf_smoothed[mask] > 0): peak_idx = np.argmax(rdf_smoothed[mask]) peak_pos = r[mask][peak_idx] peak_val = rdf_smoothed[mask][peak_idx] peak_info = {"position": peak_pos, "value": peak_val} else: peak_info = {"position": None, "value": None} return r, rdf_smoothed, peak_info # 定义选择器函数 def selector_phosphate_P_O_or_double(atom_types): """选择所有非羟基磷酸氧(P-O/P=O)""" return atom_types["phosphate_oxygens"]["P-O/P=O"] def selector_phosphate_P_OH(atom_types): return atom_types["phosphate_oxygens"]["P-OH"] def selector_phosphate_hydrogens(atom_types): return atom_types["phosphate_hydrogens"] def selector_water_only_hydrogens(atom_types): return atom_types["water_hydrogens"] def selector_hydronium_only_hydrogens(atom_types): return atom_types["hydronium_hydrogens"] def selector_water_only_oxygens(atom_types): return atom_types["water_oxygens"] def selector_hydronium_only_oxygens(atom_types): return atom_types["hydronium_oxygens"] def selector_fluoride_atoms(atom_types): return atom_types["fluoride_atoms"] def selector_aluminum_atoms(atom_types): return atom_types["aluminum_atoms"] def selector_all_phosphate_oxygens(atom_types): """选择所有磷酸氧(包括P-O/P=O和P-OH)""" return (atom_types["phosphate_oxygens"]["P-O/P=O"] + atom_types["phosphate_oxygens"]["P-OH"]) # 更新后的RDF分组配置 def get_rdf_groups(): """返回六张图的RDF分组配置(已优化)""" return { # 图1: Al的配位情况 "Al_Coordination": [ (selector_aluminum_atoms, selector_fluoride_atoms, "Al-F", "blue"), (selector_aluminum_atoms, selector_water_only_oxygens, "Al-Ow", "green"), (selector_aluminum_atoms, selector_all_phosphate_oxygens, "Al-Op", "red") ], # 图2: F与H形成的氢键 "F_Hydrogen_Bonding": [ (selector_fluoride_atoms, selector_water_only_hydrogens, "F-Hw", "lightblue"), (selector_fluoride_atoms, selector_hydronium_only_hydrogens, "F-Hh", "blue"), (selector_fluoride_atoms, selector_phosphate_hydrogens, "F-Hp", "darkblue") ], # 图3: 磷酸作为受体和供体(六组) "Phosphate_HBonding": [ # 受体部分(磷酸氧接受氢键) (selector_phosphate_P_O_or_double, selector_water_only_hydrogens, "P-O/P=O···Hw", "orange"), (selector_phosphate_P_O_or_double, selector_hydronium_only_hydrogens, "P-O/P=O···Hh", "red"), (selector_phosphate_P_OH, selector_water_only_hydrogens, "P-OH···Hw", "lightgreen"), (selector_phosphate_P_OH, selector_hydronium_only_hydrogens, "P-OH···Hh", "green"), # 供体部分(磷酸氢提供氢键) (selector_phosphate_hydrogens, selector_water_only_oxygens, "Hp···Ow", "lightblue"), (selector_phosphate_hydrogens, selector_hydronium_only_oxygens, "Hp···Oh", "blue") ], # 图4: 磷酸--水合氢离子交叉氢键 "Cross_Species_HBonding": [ (selector_phosphate_hydrogens, selector_water_only_oxygens, "Hp···Ow", "pink"), (selector_phosphate_hydrogens, selector_hydronium_only_oxygens, "Hp···Oh", "purple"), (selector_water_only_hydrogens, selector_all_phosphate_oxygens, "Hw···Op", "lightgreen"), (selector_water_only_hydrogens, selector_hydronium_only_oxygens, "Hw···Oh", "green"), (selector_hydronium_only_hydrogens, selector_water_only_oxygens, "Hh···Ow", "lightblue"), (selector_hydronium_only_hydrogens, selector_all_phosphate_oxygens, "Hh···Op", "blue") ], # 图5: 同型分子内/间氢键 "Same_Species_HBonding": [ (selector_phosphate_hydrogens, selector_phosphate_P_O_or_double, "Hp···P-O/P=O", "red"), (selector_phosphate_hydrogens, selector_phosphate_P_OH, "Hp···P-OH", "orange"), (selector_water_only_hydrogens, selector_water_only_oxygens, "Hw···Ow", "lightblue"), (selector_hydronium_only_hydrogens, selector_hydronium_only_oxygens, "Hh···Oh", "blue") ], # 图6: O-O聚集分析 "O_O_Aggregation": [ (selector_all_phosphate_oxygens, selector_water_only_oxygens, "Op-Ow", "blue"), (selector_all_phosphate_oxygens, selector_hydronium_only_oxygens, "Op-Oh", "green"), (selector_all_phosphate_oxygens, selector_all_phosphate_oxygens, "Op-Op", "red"), (selector_water_only_oxygens, selector_hydronium_only_oxygens, "Ow-Oh", "purple"), (selector_water_only_oxygens, selector_water_only_oxygens, "Ow-Ow", "cyan"), (selector_hydronium_only_oxygens, selector_hydronium_only_oxygens, "Oh-Oh", "magenta") ] } def main(workers=1): # 定义要处理的体系 vasprun_files = { "System1": "vasprun1.xml", "System2": "vasprun2.xml", "System3": "vasprun3.xml", "System4": "vasprun4.xml" } # 获取RDF分组配置 rdf_groups = get_rdf_groups() # 标题映射 title_map = { "Al_Coordination": "Al Coordination Environment", "F_Hydrogen_Bonding": "F-H Hydrogen Bonding", "Phosphate_HBonding": "Phosphate H-bonding (Acceptor and Donor)", "Cross_Species_HBonding": "Cross H-bonding between Different Species", "Same_Species_HBonding": "Intra- and Inter-molecular H-bonding", "O_O_Aggregation": "O-O Aggregation Analysis" } # 存储所有数据 all_system_data = {} group_y_max = {group_name: 0 for group_name in list(rdf_groups.keys())} group_x_max = { "Al_Coordination": (0, 6), "F_Hydrogen_Bonding": (0, 6), "Phosphate_HBonding": (0, 6.0), "Cross_Species_HBonding": (0, 6.0), "Same_Species_HBonding": (0, 6.0), "O_O_Aggregation": (0, 6.0) } # 创建输出目录 os.makedirs("RDF_Plots", exist_ok=True) # 计算所有体系的所有RDF数据 for system_name, vasprun_file in vasprun_files.items(): print(f"\n{'='*50}") print(f"Processing {system_name}: {vasprun_file} with {workers} workers") print(f"{'='*50}") start_time = time.time() try: # 加载VASP结果 vr = Vasprun(vasprun_file, ionic_step_skip=5) structures = vr.structures print(f"Loaded {len(structures)} frames") # 存储体系数据 system_data = { "rdf_results": {}, "peak_infos": {} } # 计算所有RDF分组 for group_name, pairs in rdf_groups.items(): system_data["rdf_results"][group_name] = {} system_data["peak_infos"][group_name] = {} group_y_max_current = 0 for center_sel, target_sel, label, color in pairs: print(f"\nCalculating RDF for: {label}") try: r, rdf, peak_info = calculate_rdf_parallel( structures, center_sel, target_sel, r_max=10.0, exclude_bonds=True, bond_threshold=1.3, workers=workers ) system_data["rdf_results"][group_name][label] = (r, rdf, color) system_data["peak_infos"][group_name][label] = peak_info if len(rdf) > 0: current_max = np.max(rdf) if current_max > group_y_max_current: group_y_max_current = current_max if peak_info["position"] is not None: print(f" Peak for {label}: {peak_info['position']:.3f} Å (g(r) = {peak_info['value']:.2f})") else: print(f" No significant peak found for {label} in 1.5-3.0 Å range") except Exception as e: print(f"Error calculating RDF for {label}: {str(e)}") system_data["rdf_results"][group_name][label] = (np.array([]), np.array([]), color) system_data["peak_infos"][group_name][label] = {"position": None, "value": None} if group_y_max_current > group_y_max[group_name]: group_y_max[group_name] = group_y_max_current all_system_data[system_name] = system_data elapsed = time.time() - start_time print(f"\nCompleted processing for {system_name} in {elapsed:.2f} seconds") except Exception as e: print(f"Error processing {system_name}: {str(e)}") # 为每个分组添加余量 for group_name in group_y_max: group_y_max[group_name] = max(group_y_max[group_name] * 1.15, 3.0) # 确保最小值 # 第二步:生成符合期刊要求的图表 for system_name, system_data in all_system_data.items(): print(f"\nGenerating publication-quality plots for {system_name}") for group_name, group_data in system_data["rdf_results"].items(): fig, ax = plt.subplots(figsize=(8, 6)) # 设置坐标轴范围 xlim = group_x_max.get(group_name, (0, 6.0)) ylim = (0, group_y_max[group_name]) for label, (r, rdf, color) in group_data.items(): if len(r) > 0 and len(rdf) > 0: ax.plot(r, rdf, color=color, label=label, linewidth=2.0) ax.set_xlim(xlim) ax.set_ylim(ylim) # 期刊格式标签 ax.set_xlabel('Radial Distance (Å)', fontweight='bold') ax.set_ylabel('g(r)', fontweight='bold') # 添加体系名称到标题 ax.set_title(f"{system_name}: {title_map[group_name]}", fontsize=16, pad=15) # 精简图例 ncol = 3 if group_name == "Same_Species_HBonding" else 1 ax.legend(ncol=ncol, loc='best', framealpha=0.8, fontsize=10) # 添加氢键区域标记(除O-O聚集图外) if group_name != "O_O_Aggregation": ax.axvspan(1.5, 2.5, alpha=0.1, color='green', zorder=0) ax.text(1.7, ylim[1]*0.85, 'H-bond Region', fontsize=10) # 添加网格 ax.grid(True, linestyle='--', alpha=0.5) # 保存高分辨率图片 plt.tight_layout() filename = os.path.join("RDF_Plots", f"RDF_{system_name}_{group_name}.tiff") plt.savefig(filename, bbox_inches='tight', dpi=600, format='tiff') print(f"Saved publication plot: {filename}") plt.close() # 保存Origin兼容数据 for system_name, system_data in all_system_data.items(): save_origin_data(system_name, system_data) print("\nAll RDF analysis completed successfully!") def save_origin_data(system_name, system_data): """保存Origin兼容格式数据""" os.makedirs("Origin_Data", exist_ok=True) system_dir = os.path.join("Origin_Data", system_name) os.makedirs(system_dir, exist_ok=True) # 保存峰值信息 peak_info_path = os.path.join(system_dir, f"Peak_Positions_{system_name}.csv") with open(peak_info_path, 'w', newline='') as csvfile: writer = csv.writer(csvfile) writer.writerow(["Group", "Interaction", "Peak Position (A)", "g(r) Value"]) for group_name, peaks in system_data["peak_infos"].items(): for label, info in peaks.items(): if info["position"] is not None: writer.writerow([group_name, label, f"{info['position']:.3f}", f"{info['value']:.3f}"]) else: writer.writerow([group_name, label, "N/A", "N/A"]) print(f"Saved peak positions: {peak_info_path}") # 保存RDF数据 for group_name, group_results in system_data["rdf_results"].items(): group_dir = os.path.join(system_dir, group_name) os.makedirs(group_dir, exist_ok=True) for label, (r, rdf, color) in group_results.items(): if len(r) > 0 and len(rdf) > 0: safe_label = label.replace(" ", "_").replace("/", "_").replace("=", "_") safe_label = safe_label.replace("(", "").replace(")", "").replace("$", "") filename = f"RDF_{system_name}_{group_name}_{safe_label}.csv" filepath = os.path.join(group_dir, filename) with open(filepath, 'w', newline='') as csvfile: writer = csv.writer(csvfile) writer.writerow(["Distance (A)", "g(r)"]) for i in range(len(r)): writer.writerow([f"{r[i]:.6f}", f"{rdf[i]:.6f}"]) print(f"Saved Origin data: {filename}") if __name__ == "__main__": # 设置命令行参数 parser = argparse.ArgumentParser(description='Calculate RDF for VASP simulations') parser.add_argument('--workers', type=int, default=multiprocessing.cpu_count(), help=f'Number of parallel workers (default: {multiprocessing.cpu_count()})') args = parser.parse_args() print(f"Starting RDF analysis with {args.workers} workers...") main(workers=args.workers) 以上的代码计算的是RDF,其中该RDF的计算逻辑中表明了供体和氢之间的判别,而在这里通过RDF的计算结果强化了氢键距离的判别,要进一步对氢键的键角做一个粗略的统计,来得出对应的氢键准确的键角。RDF的结果显示我们只需要对九氢键的计算,分别为P-O/P=O···Hw P-O/P=O···Hh P-O/P=O···Hp P-OH···Ow Hw···Ow Hh···Ow Hw···F Hh···F Hp···F,以上补充的逻辑中提供了化学键的判别(供体和H之间的距离),在这里我们对H和受体之间的距离再进一步补充,这九分别的距离分别为2.375 2.275 2.175 2.275 2.375 2.225 2.225 2.175 2.275,基于此去做氢键角度大小的分布图,绘制KDE曲线和直方图叠加,首先将氢键的键角阈值设为120°
07-23
为以下代码加注释 import torch import torch.nn as nn import torch.optim as optim import torch.autograd as autograd import numpy as np import matplotlib.pyplot as plt import logging # Set up logging logging.basicConfig(level=logging.INFO, format='%(asctime)s %(levelname)s: %(message)s', datefmt='%Y-%m-%d %H:%M:%S') logger = logging.getLogger() # Parameters for radial equation R_max = 1 # Maximum radius N = 100 # Number of grid points dr = R_max / N mass = 1.0 hbar = 1.0 l = 0 # Angular momentum quantum number # Potential parameters a = 100.0 # Coefficient for 1/(ra-rb) term b = 1.0 # Coefficient for (ra-rb) term # 定义 e_squared e_squared = 1.0 # e² 的值 # Radial grid r_grid = torch.linspace(0, R_max, N) r_grid.requires_grad = True device = torch.device("cuda" if torch.cuda.is_available() else "cpu") class RadialWaveFunction(nn.Module): def __init__(self): super(RadialWaveFunction, self).__init__() self.fc = nn.Sequential( nn.Linear(1, 128), nn.Tanh(), nn.Linear(128, 128), nn.Tanh(), nn.Linear(128, 128), nn.Tanh(), nn.Linear(128, 1), ) # Initialize weights for m in self.modules(): if isinstance(m, nn.Linear): nn.init.xavier_normal_(m.weight) nn.init.zeros_(m.bias) def forward(self, r): # Ensure r is positive and apply boundary conditions r_positive = torch.abs(r) + 1e-8 # Avoid division by zero # Network output raw_output = self.fc(r_positive.unsqueeze(-1)).squeeze() # Boundary conditions: u(r=0)=0, u(r→∞)=0 # For small r: u(r) ~ r^(l+1) # For large r: exponential decay small_r_factor = r_positive ** (l + 1) large_r_factor = torch.exp(-0.3 * r_positive) # Exponential decay # Combine with network output u_r = raw_output * small_r_factor * large_r_factor return u_r def custom_potential(r): """ Custom potential: a/(ra-rb) + b(ra-rb) Assuming r = |ra - rb| (relative distance) """ r_safe = torch.abs(r) + 1e-8 potential = -e_squared / r_safe return potential def effective_potential(r, l): """Effective potential including centrifugal term""" r_safe = torch.abs(r) + 1e-8 centrifugal = (hbar ** 2 * l * (l + 1)) / (2 * mass * r_safe ** 2) return custom_potential(r) + centrifugal def compute_kinetic_energy(model, r): """Compute kinetic energy term for radial wavefunction u(r)""" r.requires_grad = True # Get wavefunction u(r) = r*R(r) u_r = model(r) # First derivative du/dr du_dr = autograd.grad(u_r, r, grad_outputs=torch.ones_like(u_r), create_graph=True, retain_graph=True)[0] # Second derivative d²u/dr² d2u_dr2 = autograd.grad(du_dr, r, grad_outputs=torch.ones_like(du_dr), create_graph=True, retain_graph=True)[0] # Kinetic energy: -ħ²/(2m) * d²u/dr² kinetic = (-hbar ** 2 / (2 * mass)) * d2u_dr2 return kinetic, u_r def compute_normalization(model, r): """Compute normalization integral ∫|u(r)|² dr""" u_r = model(r) norm_squared = torch.sum(u_r ** 2) * dr return torch.sqrt(norm_squared) def compute_expectation_value(model, r): """Compute expectation value of Hamiltonian <ψ|H|ψ>""" kinetic, u_r = compute_kinetic_energy(model, r) # Potential energy V_eff = effective_potential(r, l) potential_energy = V_eff * u_r # Hamiltonian expectation value numerator = torch.sum(u_r * (kinetic + potential_energy)) * dr denominator = torch.sum(u_r ** 2) * dr return numerator / denominator def normalize_wavefunction(model, r): """Normalize the wavefunction""" norm = compute_normalization(model, r) with torch.no_grad(): for param in model.parameters(): param.data /= norm # Analytical approximation for ground state energy def estimate_ground_state_energy(): """ Rough estimate of ground state energy for V(r) = -e_squared/r Using hydrogen-like atom model """ # 对于氢原子,基态能量公式: E = - (μ * e^4) / (2 * ħ^2) # 其中 μ 是约化质量,这里我们假设 μ = mass = 1.0 ground_state_energy = - (mass * e_squared ** 2) / (2 * hbar ** 2) return ground_state_energy # Estimate theoretical energy theoretical_energy_estimate = estimate_ground_state_energy() print(f"Estimated ground state energy: {theoretical_energy_estimate:.6f}") def train_model(): model = RadialWaveFunction().to(device) r_grid_device = r_grid.to(device) optimizer = optim.Adam(model.parameters(), lr=0.001, weight_decay=1e-5) scheduler = optim.lr_scheduler.ReduceLROnPlateau(optimizer, patience=500, factor=0.8) losses = [] best_energy = float('inf') best_model_state = None for epoch in range(15000): optimizer.zero_grad() # Compute expectation value energy = compute_expectation_value(model, r_grid_device) # Loss is the energy (we want to minimize it) loss = energy # Regularization to encourage smooth solutions u_r = model(r_grid_device) grad_penalty = torch.mean(torch.abs(autograd.grad(u_r, r_grid_device, grad_outputs=torch.ones_like(u_r), create_graph=True)[0])) loss = loss + 0.001 * grad_penalty loss.backward() # Gradient clipping for stability torch.nn.utils.clip_grad_norm_(model.parameters(), max_norm=1.0) optimizer.step() scheduler.step(loss) # Normalize periodically if epoch % 200 == 0: normalize_wavefunction(model, r_grid_device) if epoch % 500 == 0: current_energy = energy.item() losses.append(current_energy) if current_energy < best_energy: best_energy = current_energy best_model_state = model.state_dict().copy() print(f"Epoch {epoch}: Energy = {current_energy:.6f}, Estimated = {theoretical_energy_estimate:.6f}") logger.info(f"Epoch {epoch}: Energy = {current_energy:.6f}") # Load best model if best_model_state is not None: model.load_state_dict(best_model_state) return model, losses def plot_results(model, losses): """Plot the results""" r_np = r_grid.detach().cpu().numpy() r_device = r_grid.to(device) with torch.no_grad(): u_r = model(r_device).cpu().numpy() R_r = u_r / (r_np + 1e-8) # R(r) = u(r)/r # Compute probability density probability_density = R_r ** 2 # Plot energy convergence plt.figure(figsize=(15, 5)) plt.subplot(1, 3, 1) epochs = range(0, 15000, 500) plt.plot(epochs[:len(losses)], losses, 'b-', label='Predicted Energy') plt.axhline(y=theoretical_energy_estimate, color='r', linestyle='--', label=f'Estimated: {theoretical_energy_estimate:.3f}') plt.xlabel('Epoch') plt.ylabel('Energy') plt.legend() plt.title('Energy Convergence') plt.grid(True) # Plot wavefunction plt.subplot(1, 3, 2) plt.plot(r_np, R_r, 'b-', label='R(r)') plt.plot(r_np, u_r, 'r--', label='u(r) = rR(r)') plt.xlabel('r') plt.ylabel('Wavefunction') plt.legend() plt.title('Radial Wavefunction') plt.grid(True) # Plot probability density and potential plt.subplot(1, 3, 3) ax1 = plt.gca() ax2 = ax1.twinx() # Probability density ax1.plot(r_np, probability_density, 'b-', label='Probability Density |R(r)|²') ax1.set_xlabel('r') ax1.set_ylabel('Probability Density', color='b') ax1.tick_params(axis='y', labelcolor='b') # Potential V_eff_np = effective_potential(r_grid, l).detach().cpu().numpy() ax2.plot(r_np, V_eff_np, 'r--', label='Effective Potential') ax2.set_ylabel('Potential Energy', color='r') ax2.tick_params(axis='y', labelcolor='r') plt.title('Probability Density and Potential') plt.grid(True) plt.tight_layout() plt.savefig('custom_potential_results.png', dpi=300, bbox_inches='tight') plt.show() # Plot the custom potential plt.figure(figsize=(8, 6)) V_custom = custom_potential(r_grid).detach().cpu().numpy() plt.plot(r_np, V_custom, 'g-', linewidth=2, label=f'V(r) = -{e_squared}/r') plt.xlabel('r') plt.ylabel('Potential Energy') plt.title('Custom Potential: -e_squared/r') plt.legend() plt.grid(True) plt.savefig('custom_potential_shape.png', dpi=300, bbox_inches='tight') plt.show() if __name__ == "__main__": print(f"Potential parameters: e_squared = {e_squared}") print(f"Potential form: V(r) = -{e_squared}/r") model, losses = train_model() final_energy = compute_expectation_value(model, r_grid.to(device)).item() print(f"\nFinal Results:") print(f"Potential: V(r) = -{e_squared}/r") print(f"Estimated Ground State Energy: {theoretical_energy_estimate:.6f}") print(f"Predicted Energy: {final_energy:.6f}") print(f"Error: {abs(final_energy - theoretical_energy_estimate):.6f}") plot_results(model, losses)
最新发布
10-25
评论 1
成就一亿技术人!
拼手气红包6.0元
还能输入1000个字符
 
红包 添加红包
表情包 插入表情
 条评论被折叠 查看
添加红包

请填写红包祝福语或标题

红包个数最小为10个

红包金额最低5元

当前余额3.43前往充值 >
需支付:10.00
成就一亿技术人!
领取后你会自动成为博主和红包主的粉丝 规则
hope_wisdom
发出的红包
实付
使用余额支付
点击重新获取
扫码支付
钱包余额 0

抵扣说明:

1.余额是钱包充值的虚拟货币,按照1:1的比例进行支付金额的抵扣。
2.余额无法直接购买下载,可以购买VIP、付费专栏及课程。

余额充值