题目
给你一个整数 n ,求恰由 n 个节点组成且节点值从 1 到 n 互不相同的 二叉搜索树 有多少种?返回满足题意的二叉搜索树的种数。
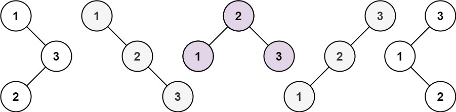
示例 1:

输入:n = 3 输出:5
示例 2:
输入:n = 1 输出:1
提示:
1 <= n <= 19
代码
定义dp[i]为由i个节点组成的二叉排序树有dp[i]种。
我们可以从节点数i为2开始遍历,每次遍历分别用j表示根节点左子树有j个节点,那对应右子树就有i-j-1个节点,那么左右子树分别能够组成的二叉排序树就是dp[j]和dp[i-j-1]种 ,j的取值范围是从0到i-1。题目要求的就是dp[j]*dp[i-j-1]。
这里当左右子树有为空的时候,我们应该把他当成1,不然dp[j]*dp[i-j-1]就是0了,但这种情况也是合理的,因此处理一下得到:dp[i]+=max(1,dp[j])*max(1,dp[i-j-1])。
class Solution:
def numTrees(self, n: int) -> int:
dp = [0 for _ in range(n+1)]
dp[1]=1
for i in range(2,n+1):
for j in range(i):
dp[i]+=max(1,dp[j])*max(1,dp[i-j-1])
return dp[n]

文章介绍用dp方法计算n个不同节点构成的二叉搜索树种类,涉及动态规划和组合数学。
573

被折叠的 条评论
为什么被折叠?



