提升树Boosting Tree算法实例详解_程大海的博客-优快云博客
从提升树Boosting Tree过度到梯度提升Gradient Boosting_程大海的博客-优快云博客
GBDT梯度提升之回归算法个人理解_程大海的博客-优快云博客_梯度回归算法
GBDT梯度提升之二分类算法个人理解_程大海的博客-优快云博客_gbdt二分类
GBDT梯度提升之多分类算法个人理解_程大海的博客-优快云博客_gbdt可以多分类吗
XGBoost算法个人理解_程大海的博客-优快云博客_xgboost 叶子节点权重
交叉熵损失与极大似然估计_程大海的博客-优快云博客_极大似然估计和交叉熵
使用泰勒展开解释梯度下降方法参数更新过程_程大海的博客-优快云博客
AdaBoost算法实例详解_程大海的博客-优快云博客_adaboost算法实例
泰勒公式:

一阶泰勒展开:
![]()
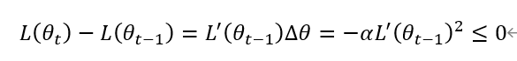
梯度下降是逐步迭代,损失函数逐步降低的过程:


为了满足上述不等式条件,取
,则上式变为:

因为
是步长,
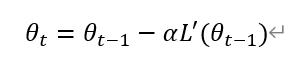
,所以上述不等式成立。 从而得出梯度下降的参数更新公式:


本文深入浅出地介绍了提升树BoostingTree算法及其在梯度提升GradientBoosting中的应用,包括回归、二分类及多分类算法的理解,并探讨了XGBoost算法的工作原理与优化策略,同时对梯度下降法进行了数学上的解释。
1953

被折叠的 条评论
为什么被折叠?



