给你二叉树的根结点 root ,请你将它展开为一个单链表:
展开后的单链表应该同样使用 TreeNode ,其中 right 子指针指向链表中下一个结点,而左子指针始终为 null 。
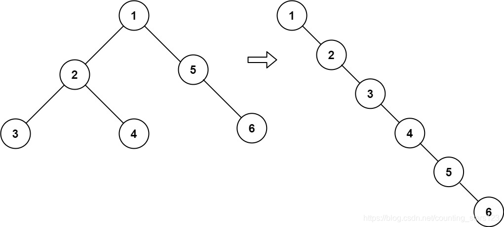
展开后的单链表应该与二叉树 先序遍历 顺序相同。
示例 1:

输入:root = [1,2,5,3,4,null,6]
输出:[1,null,2,null,3,null,4,null,5,null,6]
示例 2:
输入:root = []
输出:[]
示例 3:
输入:root = [0]
输出:[0]
提示:
树中结点数在范围 [0, 2000] 内
-100 <= Node.val <= 100
思路:
第一感觉就是递归。一个树,先把右子树给变成链表,再把左子树变成链表,然后把根节点和右子树之间拉开,把左子树塞进去。变成了一个完整的链表。
递归的终止条件是当前树为空,当前树只有一个根节点时。
/**
* Definition for a binary tree node.
* public class TreeNode {
* int val;
* TreeNode left;
* TreeNode right;
* TreeNode() {}
* TreeNode(int val) { this.val = val; }
* TreeNode(int val, TreeNode left, TreeNode right) {
* this.val = val;
* this.left = left;
* this.right = right;
* }
* }
*/
class Solution {
public void flatten(TreeNode root) {
if(root==null){}
else {
if (root.right != null)
flatten(root.right);\\先把右子树展开
if (root.left != null) {
flatten(root.left);
TreeNode l = root.left;
while (l.right != null)\\找到已经变成链表的左子最
\\后一个节点
l = l.right;
l.right = root.right;\\然后将它指向右子树
root.right = root.left;\\然后将根节点的右节点指针
\\指向左子树(把左子树掰到右边)
root.left = null;\\根节点的左子树置为0
}
}
}
}
还有一种做法是,展开成链表之后的顺序就是前序遍历的顺序,那么就先前序遍历一遍,保存在一个数组里面,然后按照前序遍历的顺序变成链表就行了。
本文介绍了一种将二叉树转换为链表的方法,通过递归操作确保每个节点的左子指针为null,右子指针指向下一个节点,实现与先序遍历相同的顺序。
1172

被折叠的 条评论
为什么被折叠?



