设置函数
我们可以找到一个函数
P
w
,
b
(
C
1
∣
x
)
P_{w,b}(C_1|x)
Pw,b(C1∣x),如果
P
w
,
b
(
C
1
∣
x
)
≥
0.5
P_{w,b}(C_1|x)\ge0.5
Pw,b(C1∣x)≥0.5则输出
C
1
C_1
C1,否则输出
C
2
C_2
C2。
逻辑回归的模型如下:
P
w
,
b
(
C
1
∣
x
)
=
σ
(
z
)
P_{w,b}(C_1|x)=\sigma(z)
Pw,b(C1∣x)=σ(z)
z = w x + b = ∑ i = 1 n w i x i + b z=wx+b=\sum_{i=1}^nw_ix_i+b z=wx+b=∑i=1nwixi+b
σ
(
z
)
=
1
1
+
e
x
p
(
−
z
)
\sigma(z)=\frac{1}{1+exp(-z)}
σ(z)=1+exp(−z)1

所以我们设置函数为:

判断函数的好坏
假设我们有下面的一组数据:

我们假定数据是依据函数
f
w
,
b
(
x
)
=
P
w
,
b
(
C
1
∣
x
)
f_{w,b}(x)=P_{w,b}(C_1|x)
fw,b(x)=Pw,b(C1∣x)生成的,那么接下来我们就要求取参数
w
w
w和
b
b
b了。
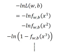
我们定义:

最有可能让训练集呈现上面的样子的是使
L
(
w
,
b
)
L(w,b)
L(w,b)最大的
w
∗
w^*
w∗和
b
∗
b^*
b∗,即:

为了简化计算,我们对上式进行一下转换:

这时候原本的乘法就变成了加法:

又(这里用到了交叉熵.),我们定义
−
l
n
L
(
w
,
b
)
-lnL(w,b)
−lnL(w,b)为交叉熵损失函数


找一个最好的函数
交叉熵损失函数对
w
i
w_i
wi求偏导(这里用到了求导的链式法则)

进行化简得:

逻辑回归和线性回归的对比

为什么逻辑回归不用平方损失函数
如果我们在逻辑回归中用了平方损失函数的话:

我们可以看到,如果目标值
y
^
n
=
1
\hat y^n=1
y^n=1,当
f
w
,
b
(
x
n
)
=
1
f_{w,b}(x^n)=1
fw,b(xn)=1时,偏导数为0,也就是说因为我们计算出来的值跟目标值是一样的所以不需要更新,这是正确的。但当
f
w
,
b
(
x
n
)
=
0
f_{w,b}(x^n)=0
fw,b(xn)=0的时候,平方损失函数的偏导数为0,也就是说不需要更新,但事实上我们的计算值离实际值很远。
同样的情况会出现在
y
^
n
=
0
\hat y^n=0
y^n=0中。

本文深入探讨了逻辑回归模型的数学基础,包括如何通过sigmoid函数将线性模型转换为概率预测,以及如何使用最大似然估计和交叉熵损失函数来优化模型参数。同时,文章对比了逻辑回归与线性回归在不同损失函数下的表现差异。
536

被折叠的 条评论
为什么被折叠?



