Educational Codeforces Round 69 (Rated for Div. 2)
A - DIY Wooden Ladder
题意:给出不同长度的木棍,求最大能组成多少阶梯的梯子
题解:全部棍子升序排序,找出第二长的,然后其他可以在长度为n的木棍上放下n-1条棍子,或者是除去两根最长的其他都能放下,所以求两者最小值即可。
#include <cstdio>
#include <algorithm>
using namespace std ;
const int N = 1e5 + 5 ;
int a[N] ;
int main(){
int n , t ;
scanf ("%d",&t) ;
while(t --){
scanf("%d",&n) ;
for(int i = 1 ; i <= n ; ++ i)
scanf ("%d",&a[i]) ;
sort(a+1,a+1+n) ;
printf ("%d\n",min(a[n-1]-1,n-2)) ;
}
return 0 ;
}
B - Pillars
题意:有n个柱子,每个柱子上有半径为r的光碟,每次移动的光碟所在的柱子只能有一张光碟,且只能小的光碟移动到大的光碟上,并且只能在相邻的柱子上移动。
题解:光碟半径为n的左边递增,右边递减。
#include <cstdio>
#include <algorithm>
using namespace std ;
const int N = 2e5 + 5 ;
int a[N] ;
int n ;
bool check(){
for (int i = 2 ; i <= n ; ++ i){
if (a[i] > a[i-1]) continue ;
else{
for (int j = i+1 ; j <= n ; ++ j){
if (a[j] < a[j-1]) continue ;
else{
return false ;
}
}
return true ;
}
}
return true ;
}
int main(){
scanf("%d",&n) ;
for(int i = 1 ; i <= n ; ++ i)
scanf ("%d",&a[i]) ;
if (check()) printf ("YES\n") ;
else printf ("NO\n") ;
return 0 ;
}
C - Array Splitting
题意:给出长度为n的数列和数字k,要求把n分为k份,每一份数列的值为其中的最大值减去最小值,求分割完之后的总价值最小为多少。
题解:求数列的前一个数和后一个数的差,将新的数列排序,删去最后k-1个即可(即求前n-k+1个的和)。
#include <iostream>
#include <cstdio>
#include <algorithm>
using namespace std ;
const int N = 3e5 + 5 ;
int a[N] , b[N] ;
int n ;
int main(){
int n , k ;
scanf("%d%d",&n,&k) ;
scanf ("%d",&a[1]) ;
for(int i = 2 ; i <= n ; ++ i){
scanf ("%d",&a[i]) ;
b[i] = a[i] - a[i-1] ;
}
sort(b+2,b+n+1) ;
long long ans = 0 ;
for (int i = 2 ; i <= n-k+1 ; ++ i){
ans += b[i] ;
}
cout << ans << endl ;
return 0 ;
}
D. Yet Another Subarray Problem
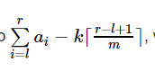
题意:给出长度为n的数列和m、k,求下图公式的最大值

题解:
每个m个数就要减去一个k,枚举最右边的数然后比较(emmmmmm说实话我还是有点似懂非懂,再好好想想)。
#include <cstdio>
#include <algorithm>
using namespace std ;
const int N = 3e5 + 5 ;
typedef long long ll ;
ll num[N] ;
int main(){
int n , m , k ;
scanf ("%d%d%d",&n,&m,&k) ;
for (int i = 1 ; i <= n ; ++ i)
scanf ("%lld",&num[i]) ;
ll ans = 0 ;
for (int j = 0 ; j < m ; ++ j){
ll now = 0 ;
for (int i = 1 ; i <= n ; ++ i){
now += num[i] ;
if (i%m == j){ //选择的数字已满一组
now -= k ;
ans = max(ans,now) ;
}
if (now < 0) now = 0 ;
}
}
printf ("%lld\n",ans) ;
return 0 ;
}
1317

被折叠的 条评论
为什么被折叠?



