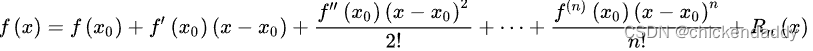
泰勒公式


#举个栗子
假设要估计的函数为y=f(x,w)#y,x实则数据点,w为参数;
实际上就是f(x,w)和w间的关系,w成了自变量#实则f(w),以高斯牛顿方法为栗子,先先预设一个w0,然后在w0这个点上用多元泰勒展开#根据w维数定,展开后取到二阶偏导项作为原来的近似,所以得到一个新的f1(w),然后直接用矩阵最小二乘公式找到一个新的w1,然后再展开循环下去;#每一步记录下残差平方和,找到一个收敛的残差平方和就结束。




*u检验,非参检验方法,检验两组样本是否来自同一数据总体,具体为获取各样本分数的次序#矩阵的秩,然后据此计算统计量u来评价两组平均名次是否具有显著差异。
本文介绍了如何利用泰勒公式进行函数近似,并以高斯牛顿法为例,详细阐述了在参数估计中的应用过程。通过预设参数并进行多元泰勒展开,找到新的函数近似f1(w),进而利用最小二乘法更新参数w,不断迭代直到残差平方和收敛。此外,还提到了u检验这一非参数检验方法,用于判断两组样本是否来自同一总体。
5305

被折叠的 条评论
为什么被折叠?



