如下图
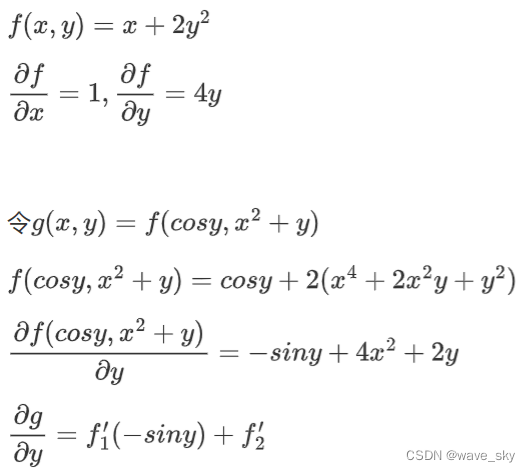
之前一直对f'_{1}到底指的是什么一知半解, 根据上面的例子总算有了一些清晰的感受, 由上图可知f'_{1}代表的是对f(cosy,x^{2}+y)函数中的元素cosy整体求偏导
也等价于: 在f(x,y)对x求偏导后将x=cosy代入后得到的结果
博客围绕f'₁的含义展开,作者原本对其理解模糊,通过例子有了清晰感受。指出f'₁代表对f(cosy,x² + y)函数中元素cosy整体求偏导,也等价于f(x,y)对x求偏导后将x = cosy代入的结果。
如下图
之前一直对f'_{1}到底指的是什么一知半解, 根据上面的例子总算有了一些清晰的感受, 由上图可知f'_{1}代表的是对f(cosy,x^{2}+y)函数中的元素cosy整体求偏导
也等价于: 在f(x,y)对x求偏导后将x=cosy代入后得到的结果

被折叠的 条评论
为什么被折叠?