文章目录
逻辑回归:
- 线性回归的式子作为输入
- 判断某一类别的概率(根据数据大小作出判断)
- 应用场景:二分类问题(哪一个类别少,判定的概率值是指的这个类别。)
- 返回的是概率值
1 Logistic回归(二分类问题)


输出:[0,1]区间的概率值,默认0.5作为阀值
1.1 sigmoid函数
注:g(z)为sigmoid函数



1.2 Logistic回归及似然函数(求解)


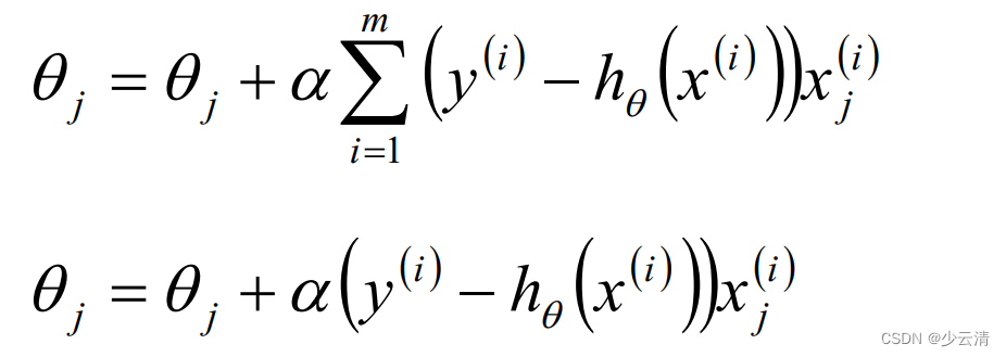
1.3 θ参数求解
Logistic回归θ参数的求解过程为(类似梯度下降方法):

1.4 Logistic回归损失函数
与线性回归原理相同,但由于是分类问题,损失函数不一样,只能通过梯度下降求解
两种表示方式:
方法一:

方法二:(推荐)

1.5 LogisticRegression总结
- 应用:广告点击率预测、电商购物搭配推荐
- 优点:适合需要得到一个分类概率的场景
- 缺点:当特征空间很大时,逻辑回归的性能不是很好(看硬件能力)
2 Softmax回归(多分类问题)
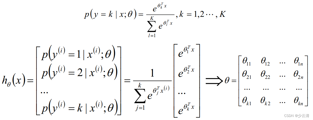
- softmax回归是logistic回归的一般化,适用于K分类的问题,第k类的参数为向量θk,组成的二维矩阵为θk*n
- softmax函数的本质就是将一个K维的任意实数向量压缩(映射)成另一个K维的实数向量,其中向量中的每个元素取值都介于(0,1)之间。
- softmax回归概率函数为:

2.1 Softmax算法原理

2.2 Softmax算法损失函数

2.3 Softmax算法梯度下降法求解


3 总结
- 线性模型一般用于回归问题,Logistic和Softmax模型一般用于分类问题
- 求θ的主要方式是梯度下降算法,梯度下降算法是参数优化的重要手段,主要是SGD,适用于在线学习以及跳出局部极小值
- Logistic/Softmax回归是实践中解决分类问题的最重要的方法
- 广义线性模型对样本要求不必要服从正态分布、只需要服从指数分布簇(二项分布、泊松分布、伯努利分布、指数分布等)即可;广义线性模型的自变量可以是连续的也可以是离散的。
文章介绍了逻辑回归(包括sigmoid函数、似然函数求解、θ参数和损失函数)及其在二分类问题中的应用,对比了与线性回归的区别。接着讨论了Softmax回归的原理、损失函数和梯度下降求解,特别指出其在多分类问题的优势。最后总结了线性模型和广义线性模型在分类问题中的地位与适用场景。
1万+





