一、引言
在科技飞速发展的当下,无人机应用领域不断拓展。从室内物流配送的高效运作,到工业检测中对复杂环境的精细勘查,再到创意十足的室内表演带来的震撼视觉体验,无人机都展现出了巨大的潜力。然而,室内环境由于缺乏全球定位系统(GPS)信号,成为了无人机精准定位的一大挑战。传统的定位技术,如 Wi-Fi 定位精度有限,难以满足无人机在室内环境下对高精度定位的严苛需求;蓝牙定位则在信号稳定性和作用距离上存在明显短板。
超宽带(Ultra Wideband,UWB)技术的横空出世,为这一难题提供了完美的解决方案。UWB 技术凭借其独特的信号特性,能够实现厘米级别的高精度定位,这对于无人机在室内环境中的安全、稳定飞行至关重要。例如,在室内物流配送场景中,无人机需要精准定位到货架的每一个货位,以实现快速、准确的货物抓取和投放;在工业检测中,无人机必须精确悬停在设备的特定位置,进行细致的检测工作。

恩智浦(NXP)作为半导体领域的领军企业,推出了一系列先进的 UWB 技术产品,其中以 SR150 作为 Anchor(基站)、SR040 作为 Tag(标签)的组合,在无人机室内定位领域展现出了卓越的性能。本文将深入探讨如何利用这一组合,搭配 AT32F 实现接口转换,并成功对接 PX4 飞控,构建出一套高效、精准的无人机室内定位系统。通过对硬件选型、工作原理、接口转换、飞控对接以及系统集成与测试的全面解析,希望能为相关领域的工程师、爱好者以及研究人员提供有价值的参考,推动无人机室内定位技术的进一步发展和广泛应用。
二、UWB 技术基础
2.1 UWB 技术简介
超宽带(UWB)技术,作为一种极具创新性的无线通信技术,在近年来受到了广泛的关注和应用。与传统的无线通信技术相比,UWB 技术有着本质的区别。传统通信技术,如我们常见的 2G、3G、4G 以及现在的 5G 技术,主要通过载波来传输信息,信号带宽相对较窄。而 UWB 技术则另辟蹊径,它不依赖载波,而是直接发送和接收具有纳秒级甚至皮秒级的极窄脉冲信号。这些脉冲信号的带宽极宽,通常超过 500MHz,甚至可达数 GHz,这也是 UWB 技术名称的由来。
这种独特的信号传输方式赋予了 UWB 技术诸多显著的优势。首先,在定位精度方面,UWB 技术表现卓越。由于其发送的极窄脉冲信号具有极高的时间分辨率,能够精确测量信号的传播时间,从而实现厘米级的高精度定位。例如,在室内环境中,UWB 定位系统能够将物体的位置精度控制在 10 厘米以内,这是传统定位技术,如 Wi-Fi、蓝牙等难以企及的。其次,UWB 技术的抗干扰能力非常强。极窄脉冲信号的功率谱密度极低,信号能量分布在很宽的频带上,这使得它不易受到其他窄带通信信号的干扰,同时也降低了对其他电子设备的干扰。再者,UWB 技术具有良好的穿透性,能够在一定程度上穿透墙壁、障碍物等,实现非视距(NLOS)环境下的定位和通信。此外,UWB 技术还具有系统复杂度低、功耗低等优点,非常适合应用于对功耗要求严格的物联网设备和移动设备中。
在实际应用中,UWB 技术已经在多个领域展现出了巨大的潜力。在室内定位领域,它被广泛应用于智能仓储、物流配送、人员定位等场景。在智能仓储中,通过部署 UWB 基站和标签,可以实时精确地定位货物和搬运设备的位置,提高仓储管理的效率和准确性;在物流配送中,UWB 技术可以帮助无人机实现室内精确配送,提高配送效率和安全性。在消费电子领域,UWB 技术也开始崭露头角,如苹果的 AirTag 利用 UWB 技术实现了物品的精准定位和追踪,为用户提供了便捷的防丢服务。随着技术的不断发展和完善,UWB 技术的应用前景将更加广阔。
2.2 UWB 定位原理
UWB 定位技术能够实现高精度定位,主要基于以下几种常见的定位原理:到达时间(Time of Arrival,TOA)、到达时间差(Time Difference of Arrival,TDOA)、到达角度(Angle of Arrival,AOA)以及接收信号强度指示(Received Signal Strength Indication,RSSI)。下面我们将对这些原理进行详细介绍,并通过表格对比它们的优缺点和适用场景。
2.2.1 到达时间(TOA)
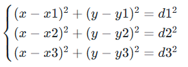
TOA 定位原理是通过测量信号从发射端(Tag)到接收端(Anchor)的传播时间,然后根据信号在空气中的传播速度(约为 3×10^8m/s),计算出发射端与接收端之间的距离。假设信号传播时间为 t,那么距离 d = c×t,其中 c 为光速。为了实现定位,至少需要三个 Anchor 已知位置坐标,通过测量 Tag 到这三个 Anchor 的距离,利用三边测量法即可确定 Tag 的位置。例如,已知三个 Anchor 的坐标分别为 A (x1,y1)、B (x2,y2)、C (x3,y3),Tag 到这三个 Anchor 的距离分别为 d1、d2、d3,则可以通过以下方程组求解 Tag 的坐标 (x,y):

TOA 定位原理的优点是定位精度较高,理论上可以达到厘米级。然而,它对系统的时间同步要求极高,因为信号传播时间的微小误差都会导致距离计算的较大偏差。在实际应用中,实现高精度的时间同步是一项极具挑战性的任务,这也限制了 TOA 定位原理的广泛应用。
2.2.2 到达时间差(TDOA)
TDOA 定位原理是通过测量信号到达两个不同 Anchor 的时间差,然后根据双曲线定位原理来确定发射端的位置。与 TOA 定位原理不同,TDOA 定位原理不需要精确的时间同步,只需要保证各个 Anchor 之间的时间同步即可。假设信号到达 Anchor1 和 Anchor2 的时间差为 Δt,信号传播速度为 c,则发射端位于以 Anchor1 和 Anchor2 为焦点的双曲线上,双曲线方程为:

其中,
,t1 和 t2 分别为信号到达 Anchor1 和 Anchor2 的时间。通过测量信号到达至少三个 Anchor 的时间差,利用双曲线相交的方法即可确定发射端的位置。
TDOA 定位原理的优点是对时间同步的要求相对较低,系统实现难度相对较小。但其定位精度会受到信号传播环境的影响,在多径传播严重的环境中,定位精度会有所下降。

最低0.47元/天 解锁文章
5237






