Regression
- 股票预测
- 自动驾驶
- 推荐
Example allpication
预测宝可梦的cp值
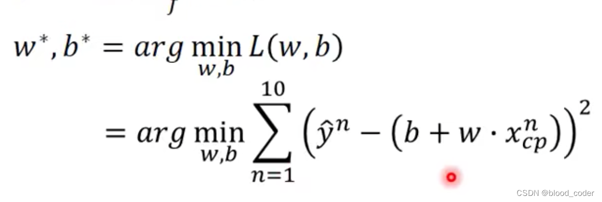
1.step1:Model
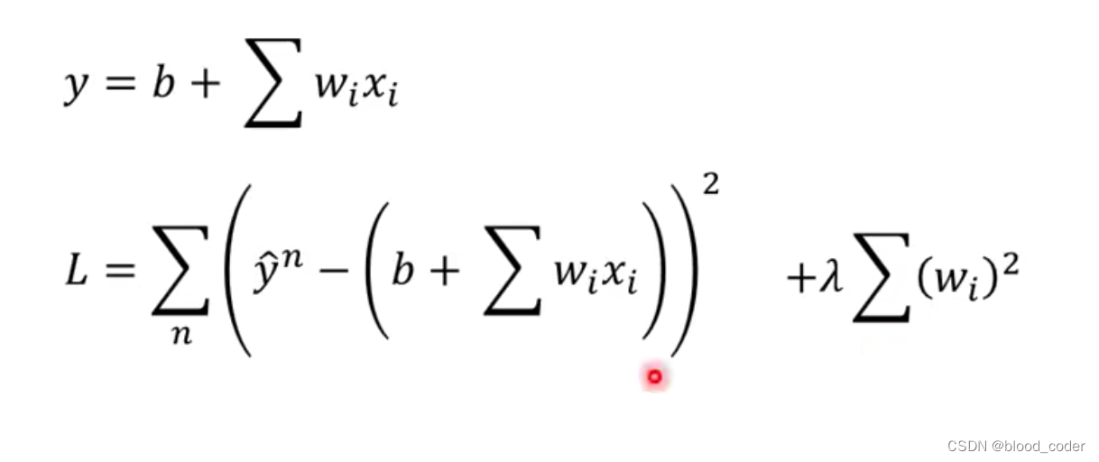
y=b+w·xcp,定义一个function set里面有大量的b和w的function组合
2.Step2:评估函数的好坏

十个真实数据做散点图
评估function好坏的标准:Loss function L:

损失函数,用某一组function计算与真实值的差距,选取最好的function就是寻找最好的w和b使得损失函数值最小。
[外链图片转存失败,源站可能有防盗链机制,建议将图片保存下来直接上传(img-DtHUwONq-1658980796750)(/Users/admin/Pictures/c2_p3.png)]
3.Step3 梯度下降
考虑参数w时,计算w对Lost函数的切线斜率
通过微分值移动参数w,移动的幅度根据“learning rate” w1=w0- ηdLdw\eta\frac{dL}{dw}ηdwdL 找到w
- 如果两个参数?w,b
- 随机选取两个参数w0 b0
- 分别计算w,b的值
得到的线性回归函数在测试集上效果不好,于是引入二次项甚至是三次项。但是引入过复杂的model反而会导致在测试集上表现更差。
- 改进Model

通过不同种类的宝可梦采用不同的参数w,b
这样设计还是有误差,说明是否存在其他隐藏因素?
- 正则化

λ\lambdaλ那一项就是正则调整,加上这一项就意味着我们期待找到一个尽可能小的wi,因为我们期待一个更"平滑的function",就是对输入的扰动不敏感的function,这样应对参数的改动有更稳定的表现
1030

被折叠的 条评论
为什么被折叠?



