【矩阵论笔记】矩阵序列极限

本文深入探讨了矩阵极限的概念,举例说明如何判断矩阵序列的收敛性,并通过Jordan标准型证明了矩阵收敛的性质。文章还讨论了矩阵收敛的判别问题,以及与谱半径相关的充要性结论。

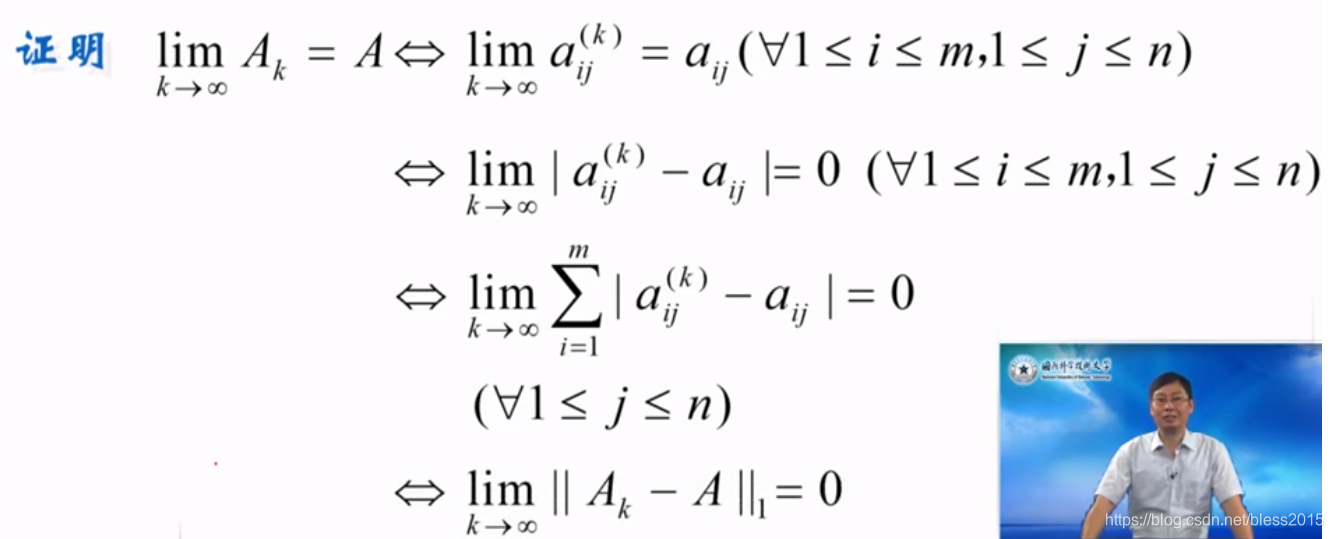
定义

在这里插入图片描述
一言蔽之矩阵极限就是看每个位置上的元素的极限。

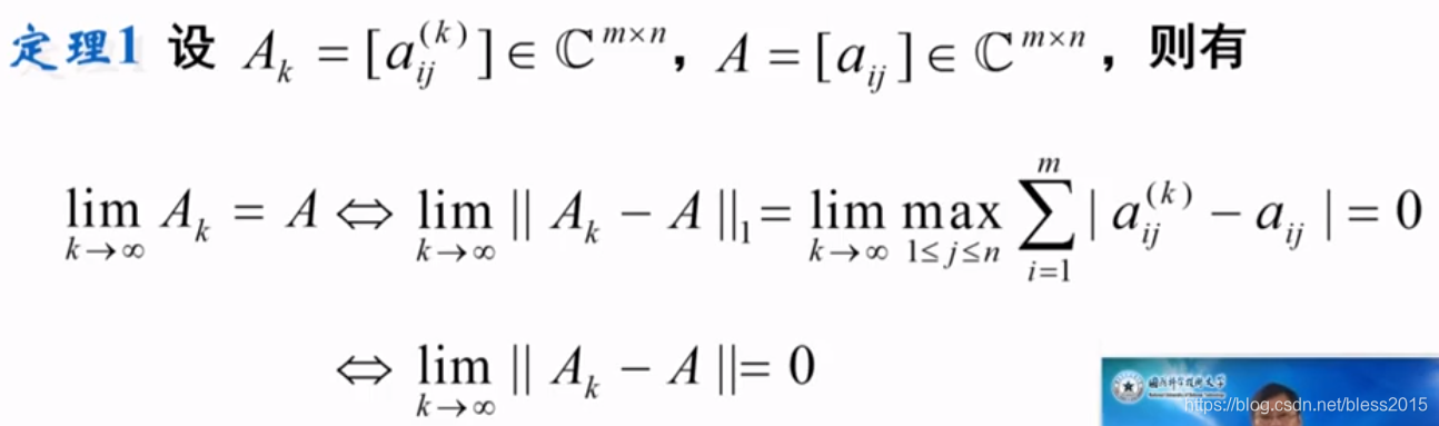
例子

在这里插入图片描述
在这里插入图片描述
证明矩阵序列是否收敛就看他每个分量是否收敛

矩阵收敛的性质

在这里插入图片描述
可以先求极限后加减乘,也可以先加减乘后取极限,先逆再极限和先极限再逆也一样,效果是一样的。

矩阵收敛的判别问题

在这里插入图片描述

证明

在这里插入图片描述

推论

在这里插入图片描述
说明范数<1的结论只是充分性,有没有充要性的结论呢?就是跟谱半径有关。
在这里插入图片描述
这个定理可以通过Jordan标准型来证:
在这里插入图片描述
那么AkA^kAk
在这里插入图片描述
因为:
在这里插入图片描述
在这里插入图片描述

得出在这里插入图片描述

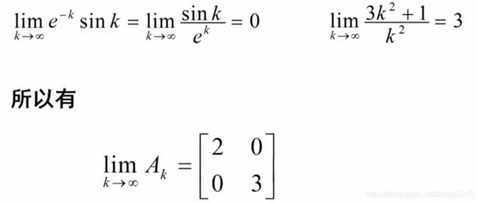
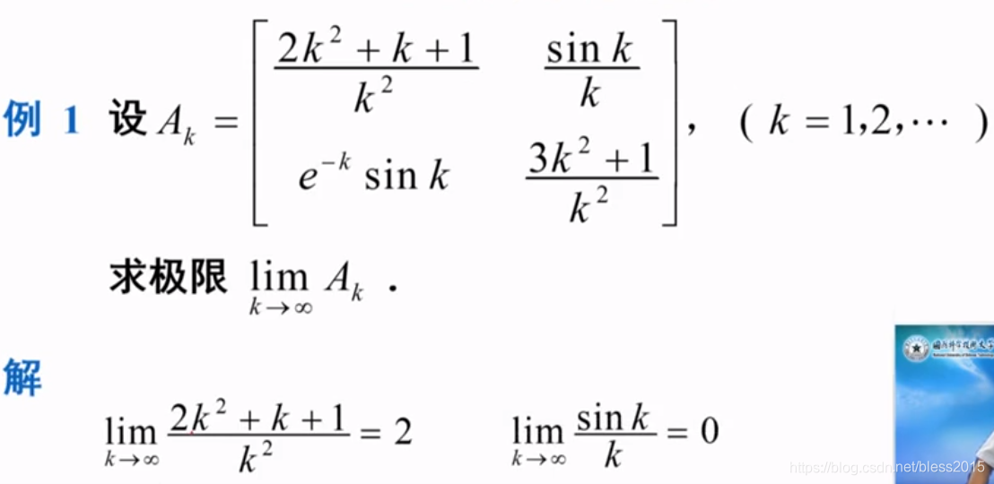
例题

在这里插入图片描述

评论 3
成就一亿技术人!
拼手气红包6.0元
还能输入1000个字符
 
红包 添加红包
表情包 插入表情
 条评论被折叠 查看
添加红包

请填写红包祝福语或标题

红包个数最小为10个

红包金额最低5元

当前余额3.43前往充值 >
需支付:10.00
成就一亿技术人!
领取后你会自动成为博主和红包主的粉丝 规则
hope_wisdom
发出的红包
实付
使用余额支付
点击重新获取
扫码支付
钱包余额 0

抵扣说明:

1.余额是钱包充值的虚拟货币,按照1:1的比例进行支付金额的抵扣。
2.余额无法直接购买下载,可以购买VIP、付费专栏及课程。

余额充值