题目:
给定一个链表的头节点
head,返回链表开始入环的第一个节点。 如果链表无环,则返回null。如果链表中有某个节点,可以通过连续跟踪
next指针再次到达,则链表中存在环。 为了表示给定链表中的环,评测系统内部使用整数pos来表示链表尾连接到链表中的位置(索引从 0 开始)。如果pos是-1,则在该链表中没有环。注意:pos不作为参数进行传递,仅仅是为了标识链表的实际情况。不允许修改 链表。
示例 1:
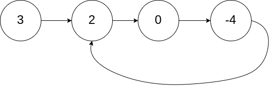
输入:head = [3,2,0,-4], pos = 1 输出:返回索引为 1 的链表节点 解释:链表中有一个环,其尾部连接到第二个节点。示例 2:
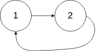
输入:head = [1,2], pos = 0 输出:返回索引为 0 的链表节点 解释:链表中有一个环,其尾部连接到第一个节点。示例 3:
输入:head = [1], pos = -1 输出:返回 null 解释:链表中没有环。
提示:
- 链表中节点的数目范围在范围
[0, 104]内-105 <= Node.val <= 105pos的值为-1或者链表中的一个有效索引
代码如下:
/**
* Definition for singly-linked list.
* struct ListNode {
* int val;
* struct ListNode *next;
* };
*/
struct ListNode *detectCycle(struct ListNode *head) {
struct ListNode *pFast=head,*pSlow=head;
while(true){
if(!pFast||!pFast->next){
return NULL;
}
pFast=pFast->next->next;
pSlow=pSlow->next;
if(pFast==pSlow){
break;
}
}
pFast=head;
while(pSlow!=pFast){
pFast=pFast->next;
pSlow=pSlow->next;
}
return pFast;
}
我的思考:
因为昨天刚做了判断环是否存在的题目,这道题我的思路其实是用链表的整体长度减去环的长度;但是题解给出了更妙的解法:设a为环前链表长度,b为环长,f、s分别为快慢指针。双指针在第一次相遇时,f=2s,且f-s=nb。相遇之后,令其中一个指针回到head头结点,二者速度相等的跳动,则在这一轮f=s=a。也就得到了a的长度。其实第二轮的思想和求倒数第k个节点有些类似,不过双指针的题目都有很多共同之处,经验++!
文章介绍了如何使用快慢指针方法在不修改链表的情况下找到链表中环的第一个节点。通过设置两个指针,一个快指针每次移动两步,一个慢指针每次移动一步,当它们相遇时,环存在,然后让一个指针回溯到头节点,两者同时移动直到再次相遇,此时相遇点即为环的入口。



227

被折叠的 条评论
为什么被折叠?



