题目:
给你一个链表的头节点
head,判断链表中是否有环。如果链表中有某个节点,可以通过连续跟踪
next指针再次到达,则链表中存在环。 为了表示给定链表中的环,评测系统内部使用整数pos来表示链表尾连接到链表中的位置(索引从 0 开始)。注意:pos不作为参数进行传递 。仅仅是为了标识链表的实际情况。如果链表中存在环 ,则返回
true。 否则,返回false。
示例 1:
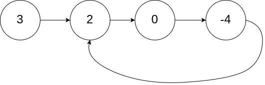
输入:head = [3,2,0,-4], pos = 1 输出:true 解释:链表中有一个环,其尾部连接到第二个节点。示例 2:
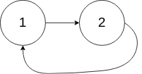
输入:head = [1,2], pos = 0 输出:true 解释:链表中有一个环,其尾部连接到第一个节点。示例 3:
输入:head = [1], pos = -1 输出:false 解释:链表中没有环。
提示:
- 链表中节点的数目范围是
[0, 104]-105 <= Node.val <= 105pos为-1或者链表中的一个 有效索引 。
代码如下:
/**
* Definition for singly-linked list.
* struct ListNode {
* int val;
* struct ListNode *next;
* };
*/
bool hasCycle(struct ListNode *head) {
if(head==NULL||head->next==NULL){
return false;
}
struct ListNode *pFast=head,*pSlow=head;
while(pFast){
pFast=pFast->next;
if(pFast==pSlow){
return true;
}
if(!pFast||!pFast->next){
return false;
}
pFast=pFast->next;
pSlow=pSlow->next;
}
return false;
}
我的思考:
之前做题遇到过类似求链表中间元素的算法,使用的方法为快慢指针,本题同样用到了类似的思想。双指针问题通过两个指针的跳转速度不同,可以求解获取倒数第k个元素,获取中间位置的元素,判断链表是否存在环,判断环的长度等和长度与位置有关的问题。就像在操场上跑步,只要跑的时间足够长,快的那一个必然可以比慢的那一个刚好多跑一圈;在本题中,我们可以得知,如果链表存在环,那么快指针与慢指针一定可以再次相遇。利用双指针这一思想就可以轻松求解本题。
如果存在环,怎么求环长呢?同样类比到操场上的追击问题,当快指针每次跳两个,慢指针每次跳一个,当他们相遇后继续跳,第二次相遇时快指针就比慢指针多遍历了环一圈,定义一个计数器cnt就可以得到环长了。
文章介绍了如何使用快慢指针方法判断链表中是否存在环,并解释了这种算法背后的逻辑。通过设置两个指针,一个每次移动一个节点,另一个每次移动两个节点,如果链表有环,两者最终会相遇,从而确定环的存在。



1204

被折叠的 条评论
为什么被折叠?



