在使用卡尔曼算法对电池容量进行实时估算时,需要预先知道SOC与OCV的关系曲线、欧姆内阻、极化内阻、极化电容等参数。常见的参数辨识包括两种:离线参数辨识法和在线参数辨识法。离线辨识主要是通过对数据进行集中处理得到模型参数的估值,然后利用查表模块输入至算法,主要的辨识方法是连续时域的指数拟合法;在线辨识是在系统运行过程中通过递推公式或者算法实时更新模型参数,主要方法是最小二乘法。两种辨识方法有利有弊,在实际应用中电池的内阻等参数,会随着放电倍率、温度、实时容量、循环次数的变化而变化。如果使用固定的模型参数,长期使用对电池内部的估计会有较大偏差;如果使用在线参数辨识,目前主流的参数辨识方法是最小二乘法,其辨识结果受初始值影响很大,且由于最小二乘法的修正,会出现算法误差结果小,但是辨识参数脱离实际情况的现象。因此不建议使用在线参数辨识,本篇文章使用离线参数辨识方法,之后会使用基于遗忘因子的最小二乘法进行在线参数辨识。
电池的HPPC测试
HPPC(Hybrid Pulse Power Characterization)测试的目的是确定电池包在电流脉冲工况中的动态功率能力,包括电池包10秒充电功率与10秒放电功率等等。另外,通过数据处理HPPC测试数据的电流电压曲线,可以得到电芯的欧姆电阻与极化阻抗与SOC之间的关系。在电池的老化测试中也可以通过HPPC测试评估电池内阻的老化特性,下图为1/2/3C充电倍率下的电池OCV曲线(电池容量为40AH)。
HPPC测试具体实验方法:
在测试过程中,被测电池周围的环境温度需要保持恒定,温度控制在28℃。
测试将按照以下步骤进行:
- 充满
以1C倍率对电池恒流充电到截止电压3.65V,再以0.2C恒流对电池进行充满,充电到截止电压为3.6V,记录总的充电电量 - 暂停
保持电池在不充、放电状态,直到电池负极柱的温度与指定测试温度T相差不超过2℃,整个暂停静置过程持续1800秒 - 恒流脉冲测试
恒流放电10S后,静置40S,然后恒流充电10S,静置40S - 放电
恒流放电5%SOC - 静置
保持电池在不充、放电状态,直到电池负极柱的温度与指定测试温度T相差不超过2℃,整个暂停静置过程持续1800秒 - 重复操作
重复步骤b到步骤e之间,记录该过程中的电池电流、电压、电量变化,直至电池SOC下降到0
瞬时充放电曲线

HPPC测试中,首先恒流放电10秒,静置40秒后,再恒流充电10秒。在放电过程中,通过脉冲放电实验可以确定电池模型的电阻和电容等参数。端电压响应曲线如上图。
开路电压OCV的辨识
使用长时间静置后的电池端电压来代替电动势,从而获得OCV-SOC曲线。在实验中,电池从SOC100间隔5%进行开路电压提取,一共提取出21个点,并通过多项式拟合得到不同倍率、充放电状态下的OCV-SOC曲线。

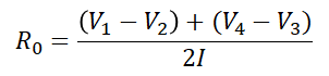
欧姆内阻R0的计算
欧姆内阻的存在会导致动力电池端电压在放电开始和结束之间发生较大变化。由于动力鲤电池脉冲放电时间较短,所以动力电池在放电前后的 SOC变化很小。因此,放电开始时的电压差(V1-V2)和放电结时的电压差(V4-V3)相差不大。由于测量设备的不精确,这两个电压差在实验中是不一样的。为了减少误差干扰,在计算欧姆内阻时,先求这两个电压差的平均值,再用电压差平均值与电流I除求取。


极化内阻R和极化电容C的计算
在上图的脉冲充放电曲线中,1点之前是静置状态,1点之前的静置时间很长,那1处的电压可提取为当前SOC处的开路电压值。1到3之间是放电状态,3到5之间电池处于静置状态,一般认为5点处的电压处于稳定状态。
二阶RC等效电路中并联的参数模型,需要通过放电曲线中的23段和45段计算得到,电池在进行瞬时脉冲实验前需要经过长时间静置,此时默认C1和C2两端的电压为0,则23段可以视为RC并联结构的零状态响应,45段处于电池的静置区域,可以视为RC并联结构的零输入响应。
在45段,4点设为0时间点,电容C1和C2两端的电压为V1和V2,则45段的电池端电压的输出可以表示为5点的电压减去两个RC并联结构的零输入相应:

其对应的指数拟合函数的数学表达式为:

其中:

23段,电池的放电电流不变,取2点为t = 0时刻,可求得两个EC并联结构的零状态响应,当电池放电到3点时,二阶RC电路两个电容上的电压分别为V1(t3)和V2(t3),从3点到4点电容两端电压不会突变,因此V1(t3) = B和V2(t3) = C.

由以上公式可以联合求得R1/C1/R2/C2的值。此部分电池参数的求解使用MATLAB的曲线拟合工具箱实现。
本文讨论了卡尔曼算法在电池容量估算中的应用,介绍了离线参数辨识(如指数拟合法)和在线参数辨识(如最小二乘法)的区别。着重讲解了HPPC测试方法,以及如何通过欧姆内阻、极化内阻和极化电容的计算来评估电池性能。提到开路电压辨识和MATLAB在参数求解中的应用,建议使用离线参数辨识以减少偏差。
9550





