2020复习——矩阵快速幂

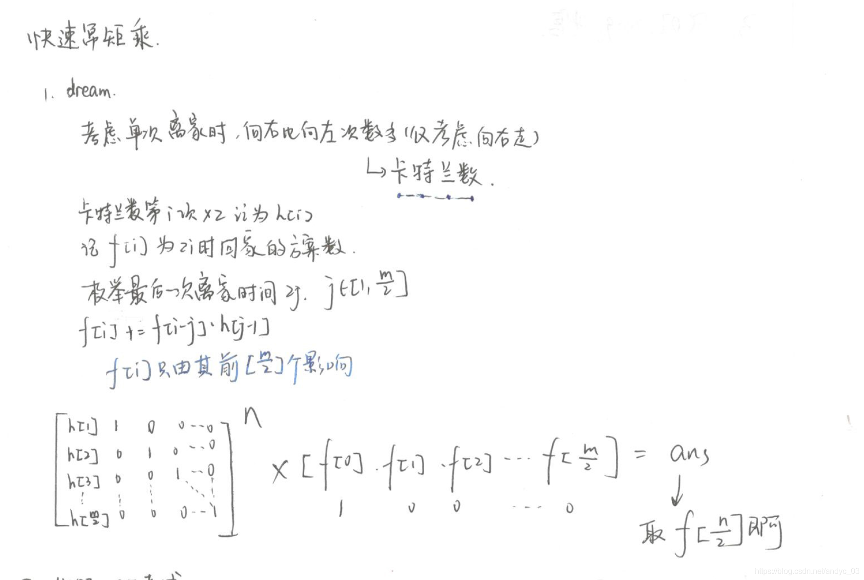
本文介绍了一种结合矩阵快速幂与动态规划的方法来高效解决特定类型的问题。通过定义适当的转移矩阵,并利用快速幂减少计算复杂度,适用于求解大规模状态转移方程。文章包含完整的C++代码实现及解释。

#include <iostream>
#include <cstdio>
#include <cstdlib> 
#include <cstring>
#include <algorithm>
#include <vector>
#include <queue>
using namespace std;
#define ll long long
#define inf 0x3f3f3f3f

int n, m, ans;
int f[105][105];
int p = 1e9 + 7;

struct Mat {
    int t[55][55];
    Mat() {memset(t, 0, sizeof t);}
} x;

Mat Mul(Mat a, Mat b) {
    Mat c;
    for (int i = 1; i <= m; i++)
    for (int j = 1; j <= m; j++)
    for (int k = 1; k <= m; k++)
        c.t[i][j] = (c.t[i][j] + (ll)a.t[i][k] * b.t[k][j] % p) % p;
    return c;
}

Mat Pow(Mat a, int b) {
    Mat c;
    for (int i = 1; i <= m; i++) c.t[i][i] = 1;
    while (b) {
        if (b & 1) c = Mul(c, a);
        a = Mul(a, a); b >>= 1;
    }
    return c;
}

int main() {
    scanf("%d%d", &n, &m);
    n >>= 1; m >>= 1;
    f[1][m - 1] = f[1][m + 1] = 1;
    for (int i = 2; i <= (m << 1); i++)
        for (int j = 0; j <= (m << 1); j++) {
            if (j - 1 != m) f[i][j] = (f[i][j] + f[i - 1][j - 1]) % p;
            if (j + 1 != m) f[i][j] = (f[i][j] + f[i - 1][j + 1]) % p;
        }
    for (int i = 2; i <= m; i++) x.t[i][i - 1] = 1;
    for (int i = 1; i <= m; i++) x.t[m + 1 - i][m] = f[i << 1][m];
    x = Pow(x, n);
    printf("%d", x.t[m][m]);
    
    return 0;
}

 

评论
成就一亿技术人!
拼手气红包6.0元
还能输入1000个字符
 
红包 添加红包
表情包 插入表情
 条评论被折叠 查看
添加红包

请填写红包祝福语或标题

红包个数最小为10个

红包金额最低5元

当前余额3.43前往充值 >
需支付:10.00
成就一亿技术人!
领取后你会自动成为博主和红包主的粉丝 规则
hope_wisdom
发出的红包
实付
使用余额支付
点击重新获取
扫码支付
钱包余额 0

抵扣说明:

1.余额是钱包充值的虚拟货币,按照1:1的比例进行支付金额的抵扣。
2.余额无法直接购买下载,可以购买VIP、付费专栏及课程。

余额充值