超大规模集成电路混合直流‐直流稳压器
摘要
混合直流‐直流稳压器是结合了线性稳压器和开关型直流‐直流转换器的结构。这种混合拓扑结构的主要目标是在单一电路拓扑中融合两种方案的优点:较小的输出电压纹波(线性稳压器电路的常见特性)以及良好的能效(如开关型方案所示)。在线性稳压器以可忽略的稳态纹波且无需输出电容的情况下将所需输出电压稳定在固定值的同时,开关转换器负责驱动大部分负载电流。此外,在负载于瞬态区间发生变化时,由线性稳压器提供所需的电流。本文讨论了一种用于低输出电流的片上混合转换器的设计。该设计已采用标准180 nm CMOS技术完成设计并通过仿真测试。论文中呈现的仿真结果表明该设计具有良好的性能。
关键词 —线性电压稳压器;直流-直流转换器;混合稳压器;CMOS技术;超大规模集成电路设计;第一代电流传输器(CCI)。
一、引言
线性稳压器是数十年来广泛使用的结构[1]。其优点显而易见:一方面,得益于其线性调整率,输出纹波电压可以最小化;另一方面,得益于其负载调整率,其瞬态响应足够良好,能够为具有高转换率电流的负载供电。然而,主要问题在于其功率效率较低,特别是由于串联传输晶体管上的电压降所致,而该电压降必须足够大以驱动高输出电流。
为了避免这一问题,长期以来采用的替代方案也很明确:开关式直流‐直流电源转换器[2]。其主要优势在于高效率,尽管由于无处不在的电路损耗而无法达到100%,但已接近该理想值。然而,众所周知,与前一类相比,它们存在一些重要问题,例如结构复杂,容易对邻近电路产生电磁干扰,并且需要大体积电容器来减小输出电压纹波。
为了在一个结构中融合上述两种方案的优点,同时尽量减少与之相关的问题,混合式DC‐DC稳压器可能是一个理想的选择。它们在紧凑电路拓扑中集成了线性稳压器和开关转换器,以实现直流/直流电压稳压器。这种第三种方案保留了前两种方案的众所周知的优点;也就是说,它们既实现了快速宽带无纹波调节(得益于线性稳压器),又具有中等较高的功率效率(得益于开关稳压器)。此外,由于控制子系统基于滞环控制(使用模拟比较器实现),因此结构简单且具有良好的高频响应。
当电源需要驱动大输出电流,同时对负载变化具有快速响应时(例如现代微处理器系统[3]或用于射频功率放大器(RFPA)宽带自适应供电的包络电源调制器[4]),这些混合结构备受关注。
本文提出了一种基于线性辅助拓扑的互补金属氧化物半导体直流‐直流稳压器设计,专用于片上应用。该特定设计必须为关键负载提供电力供应,确保其获得1.1 V的恒定供电值,以及0至15 mA的负载电流。具体而言,该设计包含一个用于微机电系统信号滤波的连续时间滤波器,并具备其中心频率和品质因数控制环路。稳压器输入电压范围为1.6 V至1.8 V。
本文组织如下: 第二节介绍电路架构,第三节展示一些仿真结果,最后第四节讨论结论。
II. 架构
该电路由一个线性稳压器组成,为负载 $V_{out}$ 提供恒定的输出电压 $R_L$。其目的是尽可能降低通过该稳压器的电流,从而减少串联传输晶体管中的耗散功率。因此,将一个降压型开关电源转换器并联连接。该转换器将为负载提供大部分电流(即提高效率),而线性稳压器则负责保持良好的线性与负载调节。这一思路最早在 [5] 中提出并进行了分析,但需要为开关转换器提供时钟信号。
本文提出的配置最初在[6]中提出,此处对其进行了多方面的改进。本研究中提出的电路如图1所示。
在初步近似情况下,考虑一个无迟滞的比较器(CMP)。如果负载电流低于限流值或$I_Ȗ$,则CMP的输出保持低电平。因此,开关转换器将被禁用,通过电感L的电流将为零。因此,由运算放大器(OA)实现的线性稳压器会向负载电阻 $R_L(I_{load})$ 提供其所需的全部电流($I_{lin}$)。然而,当负载电流略微超过该限流值 $I_Ȗ$ 时,比较器输出将跳变为高电平,从而导通晶体管 MP,并使通过电感的电流($I_{ind}$)线性增加。随后,$I_{lin}$ 也将线性下降,直到低于参考电流 $I_Ȗ$。此时,比较器输出从高电平切换为低电平,关断 MP,从而导致 $I_{ind}$ 减小。接着,随着 $I_{ind}$ 的减小,线性稳压器电流将再次高于参考电流($I_{lin}>I_Ȗ$),比较器 CMP 输出从低电平切换为高电平,重新开始下一个周期。需要注意的是,为了限制开关频率以避免显著增加开关损耗,最好在模拟比较器 CMP 中加入迟滞。
A. 线性电压稳压器
线性稳压器由一个运算放大器(OA)和一个PMOS传输晶体管(M1)构成。运算放大器的同相输入端连接到参考电压 $V_{ref}$,反相输入端连接到输出电压 $V_{out}$。通过负反馈机制,运算放大器调节M1的栅极电压,使得 $V_{out} = V_{ref}$。
为了监测线性稳压器提供的电流,采用了第一代电流传输器(CCI)。CCI由三个端口组成:X(电流输入)、Y(电压输入)和Z(电流输出)。其理想特性为:$V_Y = V_X$,$I_Z = I_X$,且Y端口具有零输入阻抗。
B. 开关转换器
开关转换器采用同步降压拓扑结构,包括主开关MP、同步整流开关MN、电感L和电容C。该转换器工作在连续导通模式(CCM)下,以确保平稳的电流输送。
C. 电流感应
为了测量线性稳压器的输出电流,采用了一个镜像支路。如图2所示,主输出 $V_{out}$ 由宽沟道晶体管驱动,而次级输出 $V’ {out}$ 由宽度窄200倍的晶体管驱动。因此,$V’ {out}$ 支路中的电流是主支路电流的1/200。该小电流被送入比较器进行检测。
D. 滞回电流比较器
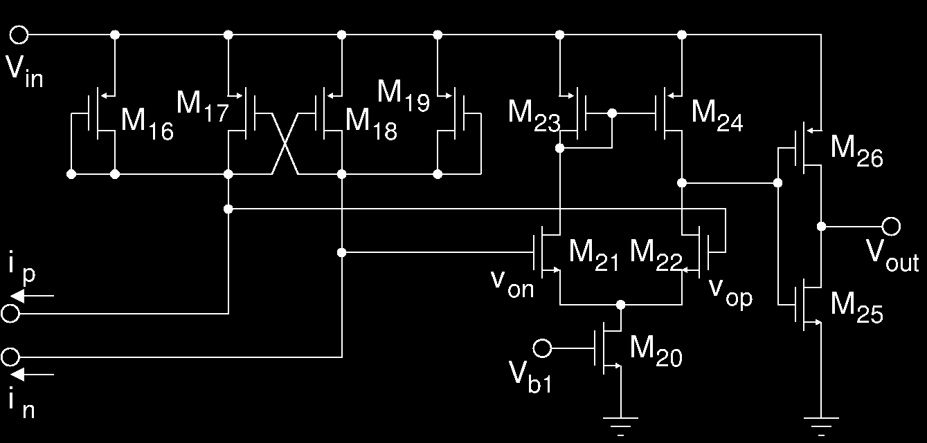
为了将线性稳压器提供的电流与参考电流进行比较并控制电源开关,使用了图3中的滞回电流比较器[10]。该比较器由一个判决电路(晶体管M16~M19)、一个由差分增益级(M20~M24)组成的输出缓冲器以及一个反相器(晶体管M25和M26)构成,用于将输出整形为逻辑电平并驱动电源开关。
判决电路的操作如下。晶体管M16~M19的尺寸满足 $\beta_{16} = \beta_{19} = \beta_A$ 和 $\beta_{17} = \beta_{18} = \beta_B$。同时,假设电流$i_p$远大于电流$i_n$。
在此情况下,M16和M18导通。随后,当M18减小$v_{SD18}$时,它使$v_{on}$接近$V_{in}$,并关断M17和M19。因此,M16驱动全部的$i_p$并且:
$$
i_p = \frac{2}{\beta_A}(V_{in} - v_{op} - V_{THP})^2.
\tag{1}
$$
然后,当电流 $i_p$ 减小和/或电流 $i_n$ 增大时,当 $M19$ 的源栅电压等于 $v_{THP}$ 时,开始发生开关动作。当通过进一步增大 $i_n$/减小 $i_p$ 使 $v_{SG19}$ 超过 $v_{THP}$ 时,M17 开始从 M16 分流电流。这会降低 $v_{SD16,17}$,从而关断 M18。
当M19即将导通时,也就是说,当$v_{SG19}$接近$v_{THP}$但M19和M17的漏极电流仍为零时,M16和M18的漏极电流为:
$$
\begin{aligned}
i_n &= \frac{2}{\beta_A}(V_{in} - v_{op} - V_{THP})^2, \
i_p &= \frac{2}{\beta_B}(V_{in} - v_{op} - V_{THP})^2.
\end{aligned}
\tag{2}
$$
由于M18的漏极电流与M16相同,因此可以写出滞回比较器的第一个切换点:
$$
\beta_B i_n = \beta_A i_p.
\tag{3}
$$
对于$i_n > i_p$也可以进行同样的推理,从而得到另一个切换点:
$$
\beta_A i_n = \beta_B i_p.
\tag{4}
$$
因此,请注意,不相等的$\beta$值可固定比较器的迟滞。在我们的设计中,已设定$\beta_A = 2\beta_B$和$I_{ref} = 5\,\mu A$。因此,比较器在$i_n = 2.5\,\mu A$和$i_n = 10\,\mu A$时切换,分别对应线性稳压器电流大200倍的$i_1 = 0.5\,mA$和$i_2 = 2\,mA$。
III. 仿真结果
图4展示了所提出的混合式DC‐DC转换器在负载电流从0突变至15 mA以及反向变化时的瞬态响应行为。输出电压(Vout)以实线表示,负载电流(Iload)为斜线,电感电流(Iind)为虚线,线性稳压器电流(Ilin)为点划线。可以看出,在负载阶跃瞬间,线性稳压器迅速提供所需电流,有效抑制了输出电压的跌落或过冲。随着开关转换器逐渐建立电感电流,其承担大部分负载电流,而线性稳压器电流相应减小。整个过程表现出良好的动态稳定性与快速响应能力。
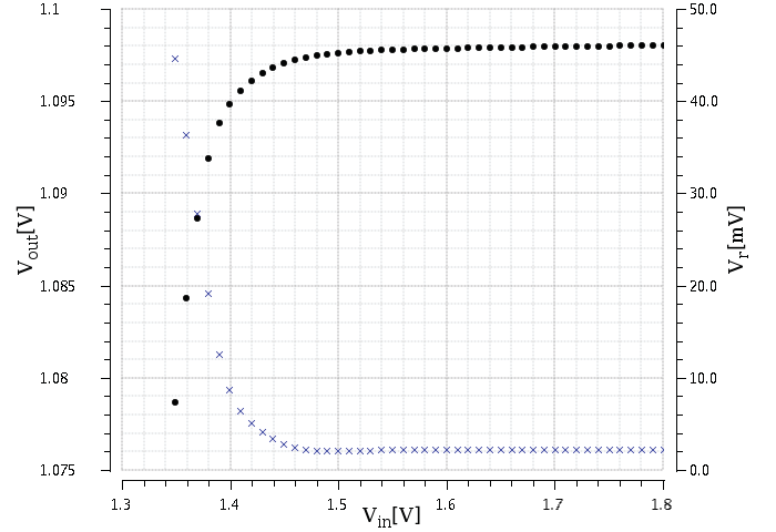
图5展示了该混合转换器的线性调整率性能。输入电压在1.6 V至1.8 V范围内变化时,输出电压(Vout)保持高度稳定,纹波电压(Vr)极小,表明系统对输入扰动具有优异的抑制能力。这验证了线性稳压器在维持输出精度方面的关键作用。
图6给出了在不同负载电流条件下(从1 mA到15 mA)系统的功率转换效率。结果显示,即使在轻载条件下,效率也保持在较高水平,并随着负载增加而进一步提升,最高效率接近85%。这一表现优于传统纯线性稳压器,同时兼顾了低纹波和快速瞬态响应的优势。
IV. 结论
利用CMOS技术实现片上DC‐DC转换器,本文展示了CMOS混合型或线性辅助DC‐DC稳压器的实现。首先,本文表明所提出的结构非常适合用于集成电路中小到中等功耗的电压调节,并实现了良好的静态和动态特性。其次,它表明线性稳压器一方面消除了对滤波输出电容的需求,另一方面能够在开关转换器提供所需电流之前供应突发的负载电流阶跃,同时保持输出电压稳定且纹波较低。当开关转换器提供大部分稳态电流以实现高功率效率时,与其并联的线性稳压器显著改善了负载调整率,补偿了快速负载电流变化。这样,该设计结合了线性和开关稳压器的优点,弥补了两者的不足。仿真结果验证了所提出结构的可行性及其良好的负载和线路调整率。
1325

被折叠的 条评论
为什么被折叠?



