最近本渣渣做了一道快搞死我的题,就是这个!
下面隆重给出题目以及链接:
| Time Limit: 1000MS | Memory Limit: 30000K | |
| Total Submissions: 29696 | Accepted: 7312 |
Description
Input
Output
Sample Input
2 3
Sample Output
15
Hint
The natural divisors of 8 are: 1,2,4,8. Their sum is 15.
15 modulo 9901 is 15 (that should be output).
题目一眼就能看懂对吧??不就是求AB所有因子的和嘛!我第一眼看到题目这么短就心知不好,绝对有坑啊!!搜了一下,竟然要用到数论的知识,学离散的时候数论
就学的不好,为了做这道题,把离散初等数论的章节又从头到尾复习了一遍。下面罗列一下这道题要用到的知识点:
埃氏筛法
这是里面最简单的一个知识点了!关于埃氏筛法前几天刚好写了篇随笔,可以戳一下看看。在这里是用来筛素的,提供一个素数表,方便后面的计算。
这是模板:
1 //埃氏筛法筛素 2 const int MAX_N = 10005; 3 int prime[MAX_N]; 4 bool is_prime[MAX_N]; 5 void getPrime(){ 6 int p = 0; 7 for(int i = 2; i < MAX_N; i++) is_prime[i] = true; 8 for(int i = 2; i < MAX_N; i++){ 9 if(is_prime[i]){ 10 prime[p++] = i; 11 for(int j = 2*i; j < MAX_N ; j+=i) is_prime[j] = false; 12 } 13 } 14 }
算术基本定理
这也是数论里的一个知识点:任何大于1的整数要么是素数,要么可以分解成素数的乘积,这样的分解是唯一的。
也就是说,题目中的A,我们可以把它分解成这样的形式:A = p1k1 * p2k2 ... * pnkn (pi是素数且ki>0)
比如36,我们可以把它分解22 * 32,其中的2和3都是素数;再比如44,我们可以把它分解成22 * 111,其中的2和11都是素数。
把这个弄懂之后,显然可以得到:AB = p1k1B * p2k2B ... * pnknB (pi是素数且ki>0)
下面是代码,我们要得到 pi 以及 ki 的数组,以及A的素因子的个数,方便后面的计算:
1 //素因子分解 2 int p[MAX_N],k[MAX_N]; 3 int cnt; 4 void getFactors(long long x){ 5 memset(k,0,sizeof(k)); 6 cnt = 0; 7 for(int i = 0; prime[i]*prime[i] <=x ; i++){ 8 if(x % prime[i] == 0){ 9 p[cnt] = prime[i]; 10 while(x % prime[i] == 0){ 11 k[cnt]++; 12 x /= prime[i]; 13 } 14 cnt++; 15 } 16 } 17 if(x != 1){ 18 p[cnt] = x; 19 k[cnt++] = 1; 20 } 21 }
可能有人(本渣渣)会觉得奇怪,最后那步x!=1是怎么回事呢?注意,在前面for循环的部分,循环条件写的是prime[i]*prime[i]<=x,也就是说,我们只考虑了小于等于√x的素因子。而x最多只可能有一个大于√x的素因子(由算术基本定理,x可以分解为素数的乘积,若有两个大于√x的素因子,那么乘积将大于x),所以x除以√x范围内的所有素因子后如果仍不为1,那么此时剩下的x一定是一个素数,即最后一个素因子。
约数和定理
对于已经分解的整数 A = p1k1 * p2k2 ... * pnkn (pi是素数且ki>0)
有A的所有因子之和为 S = (p10+p11+p12+...p1k1) * (p20+p21+p22+...p2k2) ... * (pn0+pn1+pn2+...pnkn)
很容易可以想到,每一项 piki 都有 ki+1 个因子,即 pi0 、pi1 、pi2 ... piki ,所以 piki 的因子和就是 p10+p11+p12+...p1k1 。(不难看出,这是一个等比数列。)现在要求A的因子和,因为A是 piki 的乘积,所以只要把每一项 piki 的因子和都相乘就可以了。(这是我的理解,想看更严密的证明可以百度一下)
快速幂运算
快速幂也是很基础的一个点了,刚好前段时间也写了随笔,可以戳这里!
代码在这里:
1 //快速幂运算 2 long long quickPow(long long a,long long n){ 3 long long res = 1; 4 while(n){ 5 if(n & 1) 6 res = res * a % MOD; 7 a = a * a % MOD; 8 n >>= 1; 9 } 10 return res; 11 }
等比数列二分求和
这个大概是这道题的核心了!从上面给出的约数和定理,我们发现A的所有因子之和是等比数列和的乘积。因为一般的等比数列求和公式中有除法,所以求和时不能直接用公式。据说本题有三种做法,二分,逆元,变换取模。本渣渣现在只会第一种,所以先介绍一下二分求和的方法~
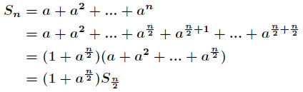
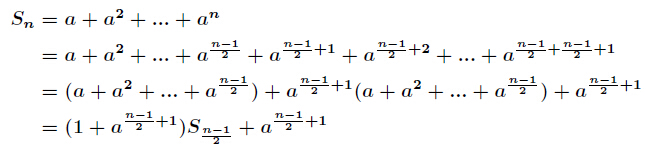
观察等比数列的式子 a + a2 + ... + an,我们发现:
(1)
时,
(2) n 为偶数时,

(3) n 为奇数时,

这边我们用到的式子还要再加上1,公式同样也可以像上面这样推出来:
n为奇数,Sn = (1 + an/2+1) * Sn/2 ;
n为偶数,Sn = (1 + an/2+1)Sn/2-1 + an/2 ;
下面给出代码:
1 //等比数列二分求和 2 long long sum(long long p,long long n){ //计算1+p+p^2+...+p^n 3 if(p == 0) return 0; 4 if(n == 0) return 1; 5 if(n & 1) 6 return ((1 + quickPow(p,n/2+1)) * sum(p,n/2)) % MOD; 7 else 8 return ((1+quickPow(p,n/2+1)) * sum(p,n/2-1) + quickPow(p,n/2)) % MOD; 9 10 }
最后!
下面就可以开始写main函数啦,注意注意,一定要小心取模,本渣渣在这边wa了n次,最后才找到问题。话不多说,上代码:
1 int main(){ 2 long long A,B; 3 getPrime(); //得到素数表 4 while(cin>>A>>B){ 5 getFactors(A); //分解质因子 6 long long ans = 1; 7 for(int i = 0; i < cnt; i++){ 8 ans = ans * sum(p[i],k[i]*B) % MOD; 9 } 10 cout<<ans<<endl; 11 } 12 13 return 0; 14 }
筒子萌!!有没有看到那个for循环!!有没有看到里面的 ans = ans * sum(p[i],k[i]*B) % MOD; 这句!
我之前写的是:ans *= sum(p[i],k[i]*B) % MOD; 然后在for循环外面又写了个 ans %= MOD; 自以为万无一失了,然后。。我真的查了很久的错QAQ。。疯狂wa,内心是崩溃的!
注意在取模运算啥的时候能不写这种 *= 、+= 咱就别写啊,真的挺坑的(大佬请自动忽视我这句话),我前面随处都在留意着取模,没想到这边疏忽了,功亏一篑啊。
下面是完整的代码,有兴趣的可以参考一下,另附我参考的几个题解(题解一 题解二)和POJ讨论区的一些测试数据:
1 #include <iostream> 2 #include <cstring> 3 using namespace std; 4 5 #define MOD 9901 6 7 // 求A^B的所有约数之和%9901 8 9 //埃氏筛法筛素 10 const int MAX_N = 10005; 11 int prime[MAX_N]; 12 bool is_prime[MAX_N]; 13 void getPrime(){ 14 int p = 0; 15 for(int i = 2; i < MAX_N; i++) is_prime[i] = true; 16 for(int i = 2; i < MAX_N; i++){ 17 if(is_prime[i]){ 18 prime[p++] = i; 19 for(int j = 2*i; j < MAX_N ; j+=i) is_prime[j] = false; 20 } 21 } 22 } 23 24 25 //素因子分解 A = p1^k1 * p2^k2 * ... * pn^kn 26 int p[MAX_N],k[MAX_N]; 27 int cnt; 28 void getFactors(long long x){ 29 memset(k,0,sizeof(k)); 30 cnt = 0; 31 for(int i = 0; prime[i]*prime[i] <=x ; i++){ 32 if(x % prime[i] == 0){ //如果x能被当前素数整除 33 p[cnt] = prime[i]; 34 while(x % prime[i] == 0){ 35 k[cnt]++; 36 x /= prime[i]; 37 } 38 cnt++; 39 } 40 } 41 if(x != 1){ //如果x不为1,剩下的一定是大于等于√x的一个素因子 42 p[cnt] = x; 43 k[cnt++] = 1; 44 } 45 } 46 47 //带模快速幂运算 48 long long quickPow(long long a,long long n){ 49 long long res = 1; 50 while(n){ 51 if(n & 1) 52 res = res * a % MOD; 53 a = a * a % MOD; 54 n >>= 1; 55 } 56 return res; 57 } 58 59 //等比数列二分求和 60 long long sum(long long p,long long n){ //计算1+p+p^2+...+p^n 61 if(p == 0) return 0; 62 if(n == 0) return 1; 63 if(n & 1) 64 return ((1 + quickPow(p,n/2+1)) * sum(p,n/2)) % MOD; 65 else 66 return ((1+quickPow(p,n/2+1)) * sum(p,n/2-1) + quickPow(p,n/2)) % MOD; 67 68 } 69 70 int main(){ 71 long long A,B; 72 getPrime(); //得到素数表 73 while(cin>>A>>B){ 74 getFactors(A); //分解质因子 75 long long ans = 1; 76 for(int i = 0; i < cnt; i++){ 77 ans = ans * sum(p[i],k[i]*B) % MOD; 78 } 79 cout<<ans<<endl; 80 } 81 82 return 0; 83 }
本文详细解析了一道数论题目的解法,通过埃氏筛法获取素数,利用算术基本定理分解质因子,结合约数和定理与快速幂运算,最终采用等比数列二分求和解决求AB所有因子和的问题。
322

被折叠的 条评论
为什么被折叠?



