1.行列式
1.1行列式的定义
行列式是一个数学概念,主要用于线性代数中,它是一个可以从方阵(即行数和列数相等的矩阵)形成的一个标量。
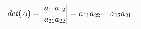
1.3二阶行列式

aij叫做行列式的元素,i为行标,j为列标
二阶行列式计算:对角线法

图中红色线为主对角线,蓝色线为副对角线

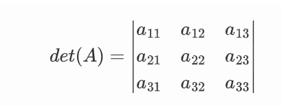
1.3三阶行列式


或者平移行列式中的元素:

①将第一、二列平移到行列式右侧
②如图做出六条斜对角线
③对角线上的元素相乘,红色相加的和 减去 蓝色相加的和
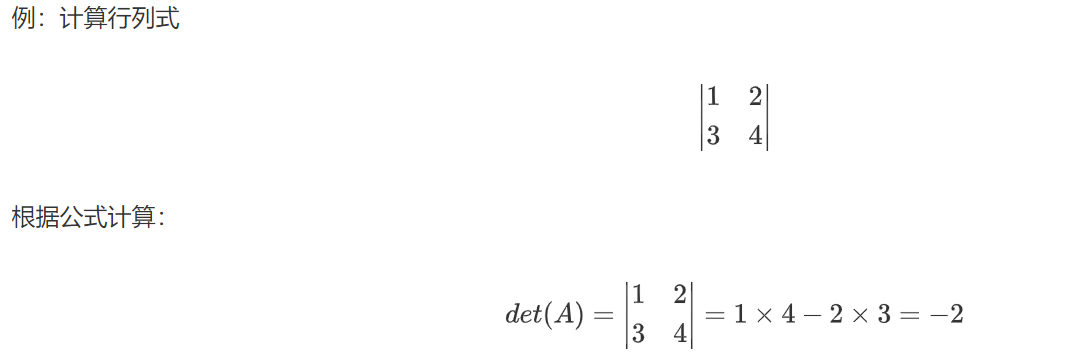
示例:
计算下列行列式:


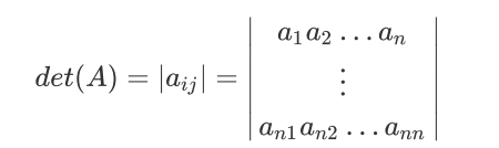
1.4n阶行列式
1.4.1 排列
排列是指从一组元素中选出若干个元素,并按照一定的顺序排列起来。对于一个包含 n 个元素的集合,其所有元素的全排列数目是 n!(即 n 的阶乘)。例如,集合 {1,2,3}的全排列有 3!=6种,分别是:
-
(1,2,3)
-
(1,3,2)
-
(2,1,3)
-
(2,3,1)
-
(3,1,2)
-
(3,2,1)
1.4.2 逆序
逆序是指在一个排列中,如果一个较大的数排在一个较小的数前面,则称这两个数构成一个逆序。逆序的总数称为逆序数。
例如,在排列 (3,1,4,2) 中,逆序有:
-
3 和 1 构成一个逆序
-
3 和 2 构成一个逆序
-
4 和 2 构成一个逆序
因此,这个排列的逆序数是 3。逆序的表示符号为N或者为τ(读作涛)
逆序数的计算
计算一个排列的逆序数可以通过遍历排列中的每一对元素来实现。具体步骤如下:
①对于排列中的每一个元素,计算它后面有多少个比它小的元素。
②将这些计数相加,得到总的逆序数。
例如,计算排列 (3,1,4,2)的逆序数:
-
元素 3 后面有2比它小的元素(1, 2),逆序数为 2。
-
元素 1 后面没有比它大的元素,逆序数为 0。
-
元素 4 后面有1个比它大的元素(1),逆序数为 1。
-
元素 2 是最后一个元素,逆序数为 0。
总的逆序数为N(3142)=2+0+1+0=3
1.4.3 奇排列和偶排列
如果一个排列的逆序数是奇数,则称该排列为奇排列;如果是偶数,则称该排列为偶排列。
例如:
N(1432) = 3,则1432为奇排列;N(4321)=6,则4321为偶排列
1.4.4 对换
对排列中的任意两个元素进行交换(称为对换),会改变排列的奇偶性。即,奇排列经过一次对换变成偶排列,偶排列经过一次对换变成奇排列。
例如:
N(651243)=10,为偶排列,将5和1兑换,则N(615243)=9,为奇排列
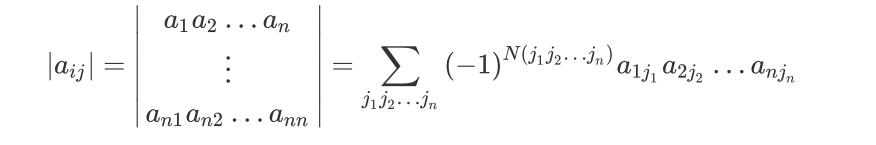
1.4.5 n阶行列式定义
以3阶行列式为例:

从上述公式可以看出:
3阶行列式按行展开后为6项,每项为3个不同行不同列的3个元素相乘
aij元素的行标i都是123的自然排列
aij元素列标j则为:123、231、312、321、213、132,总数为3!=6
分别计算列标排列的逆序数:
N(123) = 0 偶数
N(231) = 1 + 1 = 2 偶数
N(312) = 2 偶数
N(321) = 2 + 1 = 3 奇数
N(213) = 1 奇数
N(132) = 1 奇数
逆序数为偶数的排列的运算符号为+,为奇数的排列的运算符号为-
总结:
①行标取自然排列
②不同行不同列的3个元素相乘
③列标取排列的所有可能
④列标排列的逆序数的奇偶性决定运算符号,逆序数为偶数的运算符号为+,奇数的运算符号为-
从3阶行列式扩展到n阶行列式:

其中,aij是行列式的元素,i是行标,j是列标
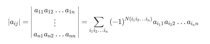
1.4.5.1按行展开


与按行展开类似,只是展开时行变成列:

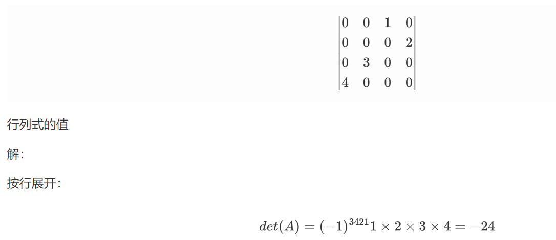
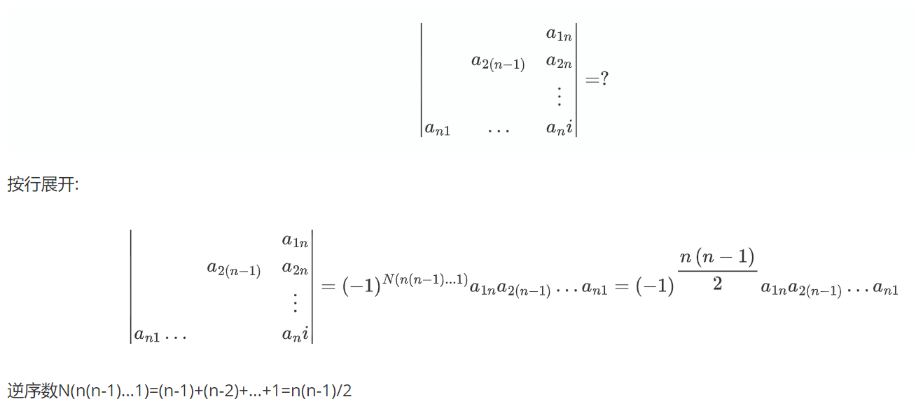
1.4.6 特殊n阶行列式
1.行列式某一行(列)全为0,则行列式为0

2.三角形行列式等于对角线元素的乘积

思考:

1.5行列式性质
1.5.1性质1
行列式的转置等于行列式本身。

其中,A是一个方阵,A^T表示 A 的转置矩阵。
这个性质的证明可以通过行列式的定义和性质来进行。转置行列式的列是行列式的行,即转置行列式按列展开得到的排列和逆序数与行列式按行展开得到的排列和逆序数一样,因此行列式的值保持不变。
1.5.2性质2
交换行列式的两行会导致行列式的值变为其原来的相反数。
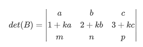
设 A是一个 n×n的行列式,如果交换 A的第 i 行和第 j 行(其中 i≠j),得到的新矩阵记为 B,那么
![]()
交换两行相当于在排列中交换两个元素,这会改变逆序数的奇偶性,从而使得行列式的值变为其原来的相反数。
假设:


推论:行列式两行(列)相等,则行列式为0
设 A 是一个 n×n的矩阵,如果 A 的第 i行和第 j行(其中 i≠j)相等,那么有:
![]()
这个性质的证明可以通过行列式的性质来进行。具体来说,我们可以利用行列式的线性性质和交换两行行列式值变符号的性质来证明这一点。
假设 A 的第 i行和第 j行相等,我们可以交换这两行得到一个新的矩阵 B。根据行列式的性质,交换两行会导致行列式的值变为其原来的相反数,即:
![]()

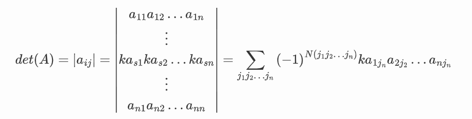
1.5.3性质3
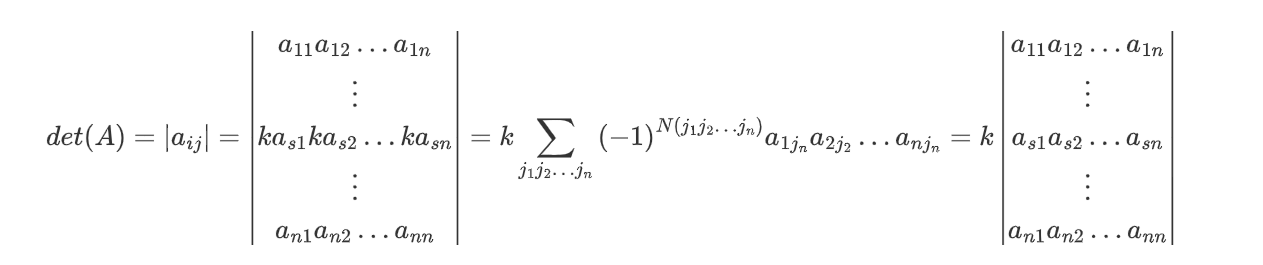
用k乘以行列式某一行的所有元素,等于用k乘以行列式

将k提取出来

思考:下列计算是否正确?

错误,每行提取k,提取3次,为k的3次方。
推论:如果行列式的某一行(或某一列)的所有元素都有公因子 k,那么这个公因子 k可以提取到行列式外面一次。
数学符号表示为:
设 A 是一个 n×n 的矩阵,如果 A 的第 i行的所有元素都有公因子 k,那么可以将k 提取到行列式外面,得到的新矩阵记为B,那么有:

行列式的值是通过对所有排列求和得到的,每个排列对应一个项。如果某一行(或某一列)的所有元素都有公因子k,会使得每个项都乘以k,从而使得整个行列式的值乘以k。
推论:如果一个 n×n的行列式的所有行的所有元素都有公因子 k,那么这个公因子 k 可以提取到行列式外面 n次。

所以

推论:如果一个行列式的两行(或两列)对应成比例,那么这个行列式的值必定为零。
数学符号表示为:
设 A 是一个 n×n 的矩阵,如果 A 的第 i 行和第 j 行(其中 i≠j)对应成比例,即第i 行的每个元素是第j行对应元素的k 倍,那么有:
![]()
假设 A 的第 i 行和第 j 行对应成比例,即第i行的每个元素是第j 行对应元素的k 倍。我们可以将第 i行的所有元素提取公因子 k,得到一个新的矩阵B,其中第i行的元素与第 j 行的元素相等。根据行列式的性质,提取公因子k 后,行列式的值变为原来的 k 倍。
由于B 的第i 行和第j行相等,根据之前的性质,行列式的值为零。因此,我们有:
![]()
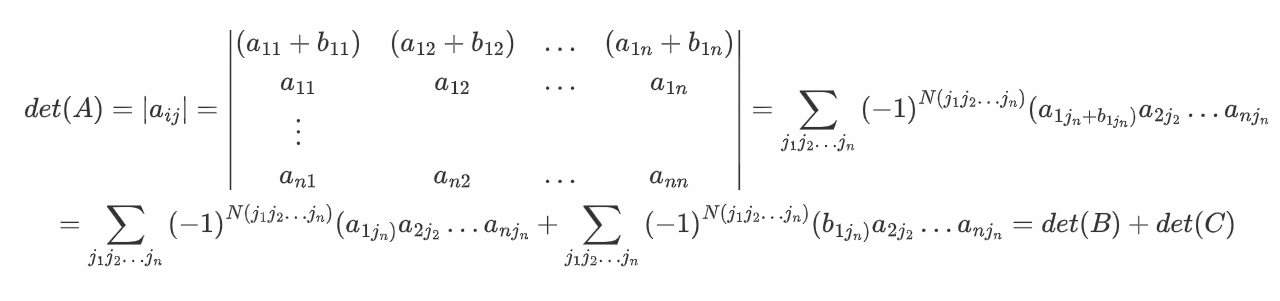
1.5.4性质4
如果一个行列式的某一行(或某一列)是两个数之和,那么这个行列式可以表示为两个行列式的和。
数学符号表示为:
设 A 是一个 n×n的矩阵,如果 A 的第 i行的每个元素是两个数之和,即第i行的每个元素可以表示为
![]()
那么矩阵 A 可以分解为两个矩阵 B 和 B,其中 B 的第 i 行的每个元素是bij,C 的第 i行的每个元素是 cij,其余行与A 相同。那么有:

例如:

例:计算

按照性质4展开

1.5.5性质5
将行列式的某一行(列)乘以一个数加到另一行(列)上,行列式的值保持不变。(常用)
数学符号表示为:
设 A 是一个 n×n的矩阵,如果将 A 的第i 行的每个元素乘以一个数k,然后将得到的结果加到第j行的对应元素上,得到的新矩阵记为 B,那么有:
![]()
这个性质的证明可以通过行列式的性质来进行。我们可以利用行列式的线性性质和交换两行行列式值变符号的性质来证明这一点。
假设 A

将A的第i行的每个元素乘以一个数 k,然后将得到的结果加到第 j 行的对应元素上,得到的新矩阵 B。

将B再进行拆分:

结合这两个等式,我们得到:![]()
1.6代数余子式
1.6.1余子式
给定一个 n×n的矩阵 A,其第 i 行第j 列的元素 aij的余子式 Mij是指去掉第i行和第j列后得到的 (n−1)×(n−1) 子矩阵的行列式。
具体步骤如下:
①选择元素:选择矩阵 AA 中的一个元素 aij。
②构造余子矩阵:去掉矩阵 AA 的第 i 行和第 j 列,得到一个 (n−1)×(n−1) 的子矩阵。
③计算行列式:计算这个 (n−1)×(n−1) 子矩阵的行列式,这个行列式就是元素 aij 的余子式 Mij。
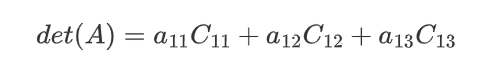
行列式 det(A)可以通过任意一行或一列的元素与其对应的余子式和代数余子式的乘积之和来计算。
例如,对于一个 3×3的矩阵 A:

元素 a11 的余子式 M11是去掉第 1 行和第 1 列后得到的 2×2子矩阵的行列式:

1.6.2代数余子式
给定一个 n×n 的矩阵 A,其第i行第j列的元素 aij 的代数余子式 Cij定义为:

其中,Mij是元素 aij 的余子式,即去掉矩阵 A的第i 行和第 j 列后得到的 (n−1)×(n−1子矩阵的行列式。
具体步骤如下:
①选择元素:选择矩阵 A 中的一个元素 aij。
②构造余子矩阵:去掉矩阵 A 的第i 行和第 j 列,得到一个 (n−1)×(n−1)的子矩阵。
③计算行列式:计算这个 (n−1)×(n−1)子矩阵的行列式,这个行列式就是元素 aij 的余子式 Mij。
④计算代数余子式:根据公式
计算代数余子式。
1.6.3拉普拉斯展开定理
行列式等于它的某一行元素与其代数余子式的乘积之和。
行列式按第i 行展开的公式为:

其中,A 是一个 n×n 的矩阵,aij是矩阵 A的第 i行第 j列的元素,Cij是元素 aij的代数余子式。
类似地,行列式也可以按第j列展开:
![]()
下面通过一个具体的例子来说明如何使用行列式按一行(列)展开定理。
假设有一个 3×3 的矩阵 A:

我们按第 1 行展开行列式:
![]()
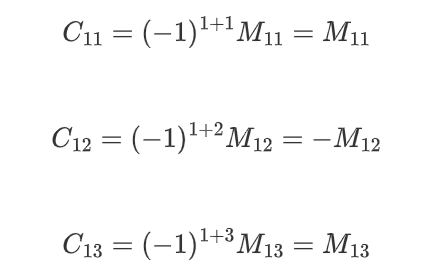
其中,代数余子式 C11、C12 和 C13 分别为:

余子式 M11、M12 和 M13分别为:

因此,行列式 det(A) 按第 1 行展开为:

通过这种方式,我们可以将一个 n×n 的行列式展开成 n 个 (n−1)×(n−1)的行列式的和,从而简化行列式的计算。
1.6.4进行展开计算的技巧
①尽可能把某一行化0
②按0多的行(列)展开
1.7克莱姆法则
- 基本概念
假设有一个由 n 个线性方程组成的n 元线性方程组:

可以将这个方程组写成AX=B,其中:

- 克莱姆法则
根据克莱姆法则,如果系数矩阵 A 的行列式 det(A)≠0,那么方程组有唯一解,且解 X 的每一个分量 xi可以通过以下公式计算:

其中,Ai是将矩阵 A 的第i 列替换为向量 B 后得到的新矩阵。

注意:克莱姆法则前提:①方程个数=未知数个数;②系数行列式det(A)!=0
克莱姆法则在处理小规模、非奇异线性方程组时是一个有用的工具,尤其在理论推导和解析解求解中。然而,对于大规模或数值稳定性要求高的实际问题,通常会选择其他更高效的数值方法,如高斯消元法、LU分解或矩阵求逆等。
2.矩阵
2.1矩阵定义
2.1.1 矩阵的定义
矩阵是由一组数按照矩形排列而成的数表。矩阵通常用大写字母表示,例如 A、B 等。矩阵中的每个数称为矩阵的元素或元。
一个 m×n的矩阵 AA 可以表示为:

2.1.2 矩阵的维度
矩阵的维度由它的行数和列数决定,记作 m×n,其中 m是行数,n 是列数,m不一定与n相等。例如,一个 3×2 的矩阵有 3 行和 2 列。
2.1.3 矩阵和行列式的区别
| 矩阵 | 行列式 | |
|---|---|---|
| 符号 | ()或[] | | | |
| 形状 | 方阵或非方阵 | 方阵 |
| 本质 | 数表 | 数 |
| 属性 | A | |A|是A诸多属性中的一种 |
2.2同型矩阵
设矩阵 A 和 B 分别为:

如果 A 和 B 的维度相同,即 A 和 B 都是 m×n 矩阵,那么A 和 B 就是同型矩阵。
- 矩阵相等
如果A 和 B 的维度相同,即 A 和 B 都是 m×n矩阵,并且对于所有 i 和 j,都有 aij=bij,那么我们称矩阵 A 和 B 相等,记作 A=B。
矩阵相等的条件
①维度相同:两个矩阵的行数和列数必须相同。
②对应元素相等:所有对应位置的元素必须相等。
2.3 特殊类型的矩阵
2.3.1 方阵
一个 n×n 的方阵 A 可以表示为:矩阵的行数=列数

方阵有主对角线和副对角线,非方阵没有主对角线和副对角线。
2.3.1.1 单位矩阵
主对角线上的元素都是 1,其余元素都是 0 的方阵,记作 I 或 E。例如,3 阶单位矩阵为:

2.3.1.2 对角矩阵
主对角线上的元素可以是任意值,其余元素都是 0 的方阵。例如:

2.3.1.3 上三角矩阵
主对角线及其上方的元素可以是任意值,主对角线下方的元素都是 0 的方阵。例如:

2.3.1.4 下三角矩阵
主对角线及其下方的元素可以是任意值,主对角线上方的元素都是 0 的方阵。例如:

2.3.3 零矩阵
一个 m×n的零矩阵 O 可以表示为:

其中所有元素都是零。零矩阵的维度由它的行数和列数决定,记作 m×n。
2.3.4 行矩阵
行矩阵(Row Matrix),也称为行向量(Row Vector),是线性代数中的一种特殊矩阵,它只有一行,但可以有多列。具体来说,一个1×n 的矩阵称为行矩阵或行向量。行矩阵的维度是 1×n,其中 n 是列数。
一个 1×n的行矩阵 R 可以表示为:
![]()
其中 r1j 表示行矩阵R 中第 1 行第 j 列的元素。
2.3.5 列矩阵
列矩阵(Column Matrix),也称为列向量(Column Vector),是线性代数中的一种特殊矩阵,它只有一列,但可以有多行。具体来说,一个 m×1 的矩阵称为列矩阵或列向量。列矩阵的维度是 m×1,其中 m 是行数。
一个 m×1 的列矩阵 C 可以表示为:

其中 ci1 表示列矩阵 C 中第 i 行第 1 列的元素。
2.4矩阵的加法
矩阵的加法是指两个相同维度的矩阵对应位置上的元素相加,得到一个新的矩阵。具体来说,如果两个矩阵 A 和 B 的维度相同,即都是m×n矩阵,那么它们的和 C=A+B也是一个 m×n 矩阵,其中 C 的每个元素 cij 是 A 和 B 对应位置元素的和,即 cij=aij+bij。

矩阵加法的性质
①交换律:矩阵加法满足交换律,即 A+B=B+A。
②结合律:矩阵加法满足结合律,即 (A+B)+C=A+(B+C)。
③零矩阵:零矩阵 0 是矩阵加法的单位元,即对于任何矩阵 A,有 A+0=A。
④负矩阵:对于任何矩阵 A,存在一个负矩阵 −A,使得 A+(−A)=0。
2.5矩阵的减法
矩阵的减法是指两个相同维度的矩阵对应位置上的元素相减,得到一个新的矩阵。具体来说,如果两个矩阵 A 和 B 的维度相同,即都是m×n 矩阵,那么它们的差 C=A−B 也是一个 m×n 矩阵,其中 C 的每个元素 cij是 A 和 B 对应位置元素的差,即
![]()

矩阵减法的性质
①反交换律:矩阵减法不满足交换律,即 A − B ≠ B − A。
②结合律:矩阵减法满足结合律,即 (A − B) − C = A − (B + C)。
③零矩阵:零矩阵0在矩阵减法中扮演着类似于数字零的角色,即对于任何矩阵 A,有 A − 0 = A。
2.6矩阵的数乘
矩阵的数乘(Scalar Multiplication)是指一个矩阵与一个标量(即一个实数或复数)相乘,结果是一个新的矩阵。具体来说,如果A 是一个 m×n 的矩阵,k 是一个标量,那么它们的数乘 kA 也是一个 m×n 的矩阵,其中 kA 的每个元素是 A 对应位置元素与标量 k 的乘积。

- 矩阵提公因子与行列式提公因子的区别
矩阵提公因子:矩阵的所有元素均有公因子k,则k向外提一次。
行列式提公因子:行列式的某一行有公因子k,则k向外提一次。
- 矩阵数乘的性质
①结合律:矩阵数乘满足结合律,即对于任何标量 k 和 l,以及任何矩阵 A,有 (kl)A = k(lA)=l(kA)。
②分配律:矩阵数乘满足分配律,即对于任何标量 k 和 l,以及任何矩阵 A,有 (k+l)A = kA + lA。
③标量乘法与矩阵加法的分配律:对于任何标量 k,以及任何矩阵 A 和 B,有 k(A+B) = kA + kB。
④单位标量:标量 1 是矩阵数乘的单位元,即对于任何矩阵 A,有 1A=A。
⑤零标量:标量 0 是矩阵数乘的零元,即对于任何矩阵 A,有 0A=0,其中 0是零矩阵。
2.7矩阵的乘法
2.7.1矩阵乘法的条件
两个矩阵A 和 B 能够相乘的条件是:矩阵 A 的列数必须等于矩阵 B 的行数。具体来说,如果矩阵 A 是 m×n 的矩阵(即 m行 n 列),矩阵 B 是 n×p 的矩阵(即 n 行 p 列),那么它们可以相乘,并且乘积矩阵 C 将是 m×p 的矩阵。即乘积矩阵C的行数等于矩阵A的行数,矩阵C的列数等于矩阵B的列数(中间相等,取两端)。
2.7.2矩阵乘法的定义
A(m*n)*B(n*p)=C(m*p)
设 A 是一个 m×n 的矩阵,B 是一个 n×p 的矩阵,那么它们的乘积 C=A×B 是一个 m×p 的矩阵,其中 C 的第 i 行
第 j 列的元素 cij 定义为:

其中 aik 是矩阵 A 的第i行第 k 列的元素,bk 是矩阵 B 的第 k 行第j 列的元素。
2.7.3矩阵乘法满足的性质
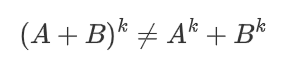
①结合律:对于任意三个矩阵 A、B 和 C,如果它们的维度使得乘法有意义,那么 (A×B)×C=A×(B×C)。
②分配律:对于任意三个矩阵 A、B 和 C,如果它们的维度使得乘法有意义,那么 A×(B+C)=A×B+A×C 和 (A+B)×C=A×C+B×C。
③单位矩阵:对于任意矩阵 A,如果存在一个单位矩阵 E(维度与A 相匹配),那么 A×E=E×A=A,注意两个E的维度不一定一样。
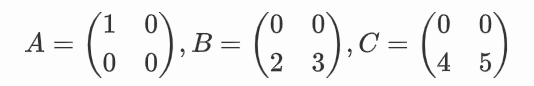
2.7.4矩阵乘法不满足的性质
①交换律:AXB一般不等于BXA,如矩阵A维度2x2,B维度2x3,AxB的维度=2x3,BxA则不能相乘,因为B的列数不等于A的行数。如果AXB等于BXA,则矩阵A和B是同阶的方阵,并称A和B是可交换的矩阵。
②消去律:由AXB=AXC,不能推导出B=C
③由AxB=0,不能推出A=0或B=0
比如:
2.8矩阵的幂
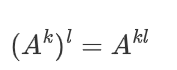
矩阵的幂是指将一个矩阵自身相乘多次的操作。具体来说,如果 A 是一个 n×n 的方阵,那么 A 的 k 次幂 A^k 定义为 A 自身相乘 k 次的结果。
定义
设 A 是一个 n×n 的方阵,那么 A 的 k 次幂 A^k 定义为:![]()
![]()
-
矩阵的幂的性质
①结合律:对于任意正整数 k 和 l,

②分配律:对于任意正整数 k 和 l,
![]()
③单位矩阵:对于任意方阵A,A^0=E,其中 E 是单位矩阵。
2.9矩阵的转置
矩阵的转置(Transpose)是矩阵操作中的一种基本运算。它通过交换矩阵的行和列来生成一个新的矩阵。具体来说,如果 A 是一个m×n 的矩阵,那么它的转置矩阵 A^T 是一个 n×m 的矩阵,其中 A^T 的第 i 行第 j 列的元素等于 A 的第 j 行第i 列的元素。
定义
设 A 是一个 m×n 的矩阵,其元素为 aij,那么 A 的转置矩阵 A^T 是一个 n×m 的矩阵,其元素为 aji。
- 矩阵转置满足的性质
①(A^T)^T = A
一个矩阵的转置的转置等于原矩阵。
②(A + B)^T = A^T + B^T
两个矩阵和的转置等于它们各自转置的和。
③(kA)^T = kA^T
一个矩阵乘以一个标量的转置等于该矩阵的转置乘以该标量。
④(AB)^T = B^T A^T
两个矩阵乘积的转置等于它们各自转置的乘积,但顺序相反。
- 矩阵转置中的特殊矩阵
①对称矩阵:如果一个矩阵 A 满足 A^T=A,那么 A 是对称矩阵。对称矩阵的元素关于主对角线对称。
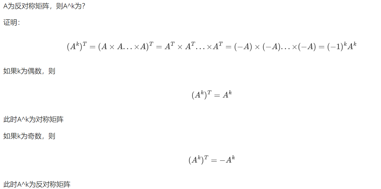
②反对称矩阵:如果一个矩阵 A 满足 A^T=−A,那么 A 是反对称矩阵。反对称矩阵的主对角线元素必须为零,且关于主对角线对称的元素互为相反数。
- 注意
对称矩阵和反对称矩阵都是方阵。
矩阵A和B为同阶对称矩阵,AB对称的充要条件为AB=BA

思考:

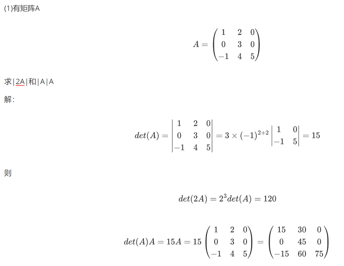
2.10方阵的行列式
要计算行列式的前提:矩阵A为方阵。
性质:A为n阶的方阵

示例:


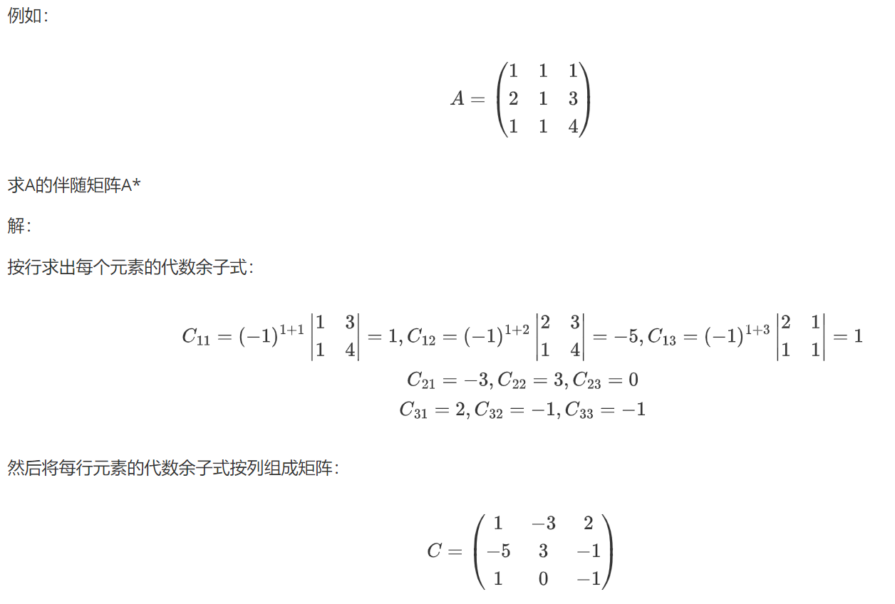
2.11伴随矩阵
设 A 是一个 n×n 的方阵,其元素为 aij。伴随矩阵 adj(A)或A* 是一个 n×n的矩阵,其第 i 行第 j 列的元素是 A 的余子式 Mji 的代数余子式 Cji,即:
![]()
其中 Mji是 A 的第j 行第i 列元素的余子式,即去掉第 j 行和第 i 列后剩下的 (n−1)×(n−1) 矩阵的行列式。
- 伴随矩阵的构建
①先按行求出每个元素的代数余子式
②将每行元素的代数余子式按列组成一个矩阵。

- 伴随矩阵的性质
![]()

证明:

2.12逆矩阵
对于一个 n×n 的方阵 A,如果存在另一个 n×n的方阵 B,使得 AB=BA=E,其中 E 是 n×n 的单位矩阵,那么 B 称为 A 的逆矩阵,记作
![]()
- 逆矩阵的存在条件
一个矩阵 A 有逆矩阵的充分必要条件是 A 是可逆的,即 det(A)≠0。如果 det(A)=0,则 A 是奇异矩阵,没有逆矩阵。
- 逆矩阵的性质
①如果A可逆,则A的逆矩阵是唯一的
证明:

②n阶方阵A可逆的充要条件为![]()
且当A可逆时,![]()

③A、B 和 C 是 n×n 的可逆矩阵,那么它们的乘积 ABC的逆矩阵为:
![]()
2.13初等变换
2.13.1初等行变换

2.13.2初等列变换
-
交换两列:将矩阵的第 i 列和第 j 列交换位置
-
某一列乘以非零常数:将矩阵的第 i 列乘以一个非零常数 k
-
某一列加上另一列的倍数:将矩阵的第 i 列加上第 j 列的 k 倍
2.14.矩阵的标准形
2.14.1 行阶梯形矩阵
行阶梯形矩阵是一种特殊的矩阵形式,具有以下特征:
-
非零行在零行之上:所有非零行都在零行之上。
-
主元:每一行的第一个非零元素(主元)在上一行主元的右边。
-
主元下方元素为零:每一行的主元下方元素都为零。
例如,以下矩阵是一个行阶梯形矩阵:

2.14.2 简化行阶梯形矩阵
简化行阶梯形矩阵是行阶梯形矩阵的一种特殊形式,具有以下特征:
-
非零行在零行之上:所有非零行都在零行之上。
-
主元为 1:每一行的第一个非零元素(主元)为 1。
-
主元下方元素为零:每一行的主元下方元素都为零。
-
主元上方元素为零:每一行的主元上方元素都为零。
即:
①是行阶梯形矩阵;
②非0行的首非0元是1;
③非0行的首非0元所在列的其它元素都是0
思考:行阶梯形矩阵是唯一的吗?行简化阶梯形矩阵是唯一的吗?
行阶梯形矩阵不是唯一的。行简化阶梯形矩阵是唯一的,因为不能再简化了。
2.15初等矩阵
初等矩阵是由单位矩阵通过一次初等行变换或初等列变换得到的矩阵。
初等矩阵是由单位矩阵 II 通过以下三种初等行变换或初等列变换得到的矩阵:
-
交换两行(列):将单位矩阵的第 i 行和第 j 行(列)交换位置。
-
某一行(列)乘以非零常数:将单位矩阵的第 i 行(列)乘以一个非零常数k。
-
某一行(列)加上另一行(列)的倍数:将单位矩阵的第 i 行(列)加上第 j 行(列)的 k 倍。
根据初等变换的类型,初等矩阵可以分为以下三种:
(1)交换两行(列)的初等矩阵
交换单位矩阵的第 i 行和第 j 行(列)得到的初等矩阵记作 Eij。例如,交换单位矩阵的第 1 行和第 2 行得到的初等矩阵为:

(2)某一行(列)乘以非零常数的初等矩阵
将单位矩阵的第 i 行(列)乘以一个非零常数 k 得到的初等矩阵记作 Ei(k)。例如,将单位矩阵的第 2 行乘以 3 得到的初等矩阵为:

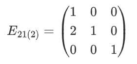
(3)某一行(列)加上另一行(列)的倍数的初等矩阵
将单位矩阵的第i 行(列)加上第 j 行(列)的 k 倍得到的初等矩阵记作 Eij(k)。例如,将单位矩阵的第 2 行加上第 1 行的 2 倍得到的初等矩阵为:

将单位矩阵的第 2 列加上第 1 列的 2 倍得到的初等矩阵为:

- 初等矩阵的性质
①初等矩阵的逆矩阵也是初等矩阵
交换两行(列)的初等矩阵的逆矩阵是它本身,即
![]()
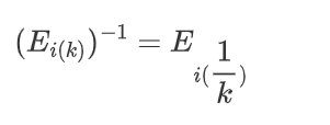
②某一行(列)乘以非零常数的初等矩阵的逆矩阵是将该行(列)乘以 1/k,即

某一行(列)加上另一行(列)的倍数的初等矩阵的逆矩阵是将该行(列)减去另一行(列)的 k 倍,即
![]()
②初等矩阵的行列式:
交换两行(列)的初等矩阵的行列式为 -1。
某一行(列)乘以非零常数的初等矩阵的行列式为 k。
某一行(列)加上另一行(列)的倍数的初等矩阵的行列式为 1。
③对矩阵A做一次行变换,相当于用同种初等矩阵左乘A
④对矩阵A做一次列变换,相当于用同种初等矩阵右乘A
上述两个结论将初等变换转换成了等式运算,更方便进行运算。
2.16矩阵的秩
2.16.1 k阶子式
k阶子式是指从矩阵中选取 k 行和 k 列后形成的 k×k 子矩阵的行列式
矩阵 k 阶子式的计算方法
计算矩阵 A 的 k 阶子式的步骤如下:
①选取 k 行和 k 列:从矩阵 AA 中选取 k 行和 k 列,形成一个 k×k 的子矩阵。
②计算子矩阵的行列式:计算所选子矩阵的行列式,即为矩阵 A 的 k 阶子式。
2.16.2 秩
矩阵的秩:非零子式的最高阶数,记作:r(A)
秩的计算方法
通过初等行变换将矩阵化为行阶梯形矩阵或简化行阶梯形矩阵,行阶梯形矩阵中非零行的数量即为矩阵的秩。初等行或列变换不改变矩阵的秩。步骤:
①将矩阵进行初等变换为行阶梯形矩阵
②非零行的行数即为矩阵的秩
838

被折叠的 条评论
为什么被折叠?



