[Golang]力扣Leetcode—中级算法—树和图—二叉树的中序遍历(递归、迭代)
题目:给定一个二叉树的根节点 root ,返回它的 中序 遍历。
链接: 力扣Leetcode—中级算法—树和图—二叉树的中序遍历.
示例1 :
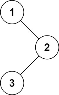
输入:root = [1,null,2,3]
输出:[1,3,2]
示例2 :
输入:root = []
输出:[]
示例3 :
输入:root = [1]
输出:[1]
示例4 :
输入:root = [1,2]
输出:[2,1]
示例5 :
输入:root = [1,null,2]
输出:[1,2]
标签:栈、树、深度优先搜索、二叉树
思路:二叉树的中序遍历,按照访问左子树——根节点——右子树的方式遍历这棵树,而在访问左子树或者右子树的时候我们按照同样的方式遍历,直到遍历完整棵树。因此整个遍历我们可以直接用 递归 函数来模拟这一过程。或者我们也可以用 迭代 来解决问题,先将整颗树怼进去,在把所有的左子树怼进去,然后遍历左子树,直接左边的最下边。因为先进后出,拿到了最下面的左节点,也怼到数组里,看以右节点为根的还有没有左节点,有就回到上面第1步,没有就走第3步,把根节点怼进去,在怼右节点。
递归Go代码如下:
package main
import "fmt"
// TreeNode Definition for a binary tree node.
type TreeNode struct {
Val int // 根
Left *TreeNode //左节点
Right *TreeNode //右节点
}
func inorderTraversal(root *TreeNode) (res []int) {
var inorder func(node *TreeNode)
inorder = func(node *TreeNode) {
if node == nil {
return // 结束当前递归
}
inorder(node.Left) // 直接怼到左边最下边
res = append(res, node.Val) // 添加到数组里
inorder(node.Right) // 看右边还有没有分支,有就继续走,没有就将右节点加入数组
}
inorder(root)
return
}
func main() {
// 测试用例 root = [1,null,2,3]
root := &TreeNode{1, nil, nil}
root.Right = &TreeNode{2, nil, nil}
root.Right.Left = &TreeNode{3, nil, nil}
res := inorderTraversal(root)
fmt.Printf("res is: %v\n", res)
}
提交截图:

迭代Go代码如下:
package main
import "fmt"
// TreeNode Definition for a binary tree node.
type TreeNode struct {
Val int // 根
Left *TreeNode //左节点
Right *TreeNode //右节点
}
func inorderTraversal(root *TreeNode) (res []int) {
// 定义一个栈,栈存的就是一棵树
var stack []*TreeNode
for root != nil || len(stack) > 0 {
for root != nil {
// 1.先将整颗树怼进去,在把所有的左子树怼进去
stack = append(stack, root)
// 2.遍历左子树,直接左边的最下边
root = root.Left
}
// 3.因为先进后出,拿到了最下面的左节点
root = stack[len(stack)-1]
stack = stack[:len(stack)-1]
// 4.怼到数组里
res = append(res, root.Val)
//5.看以右节点为根的还有没有左节点,有就回到上面第1步,没有就走第3步,把根节点
root = root.Right
}
return
}
func main() {
// 测试用例 root = [1,null,2,3]
root := &TreeNode{1, nil, nil}
root.Right = &TreeNode{2, nil, nil}
root.Right.Left = &TreeNode{3, nil, nil}
res := inorderTraversal(root)
fmt.Printf("res is: %v\n", res)
}
提交截图:


本文介绍了如何使用递归和迭代方法实现二叉树的中序遍历。通过示例代码详细展示了两种方法的实现过程,并提供了测试用例验证其正确性。递归代码直接模拟中序遍历的左-根-右顺序,而迭代代码利用栈存储节点,按顺序访问左子树、根节点和右子树。



686

被折叠的 条评论
为什么被折叠?



