二叉树遍历——中序遍历(Golang)
简介
中序遍历(LDR)是二叉树遍历的一种,也叫做中根遍历、中序周游。
定义
在二叉树中,中序遍历首先遍历左子树,然后访问根结点,最后遍历右子树。若二叉树为空则结束返回,否则:(1)中序遍历左子树(2)访问根结点(3)中序遍历右子树

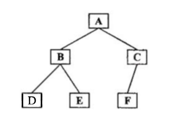
如图所示二叉树,中序遍历结果:DBEAFC
Golang遍历实现
// TreeNode Definition for a binary tree node.
type TreeNode struct {
Val int // 根
Left *TreeNode //左节点
Right *TreeNode //右节点
}
func inorderTraversal(root *TreeNode) (res []int) {
var inorder func(node *TreeNode)
inorder = func(node *TreeNode) {
if node == nil {
return // 结束当前递归
}
inorder(node.Left) // 直接怼到左边最下边
res = append(res, node.Val) // 添加到数组里
inorder(node.Right) // 看右边还有没有分支,有就继续走,没有就将右节点加入数组
}
inorder(root)
return
}
Golang迭代实现
栈:先进后出
// TreeNode Definition for a binary tree node.
type TreeNode struct {
Val int // 根
Left *TreeNode //左节点
Right *TreeNode //右节点
}
func inorderTraversal(root *TreeNode) (res []int) {
stack := []*TreeNode{} // 定义一个栈,栈存的就是一棵树
for root != nil || len(stack) > 0 {
for root != nil {
stack = append(stack, root) // 1.先将整颗树怼进去,在把所有的左子树怼进去
root = root.Left // 2.遍历左子树,直接左边的最下边
}
root = stack[len(stack)-1] // 3.因为先进后出,拿到了最下面的左节点
stack = stack[:len(stack)-1]
res = append(res, root.Val) // 4.怼到数组里
//5.看以右节点为根的还有没有左节点,有就回到上面第1步,没有就走第3步,把根节点
root = root.Right //
}
return
}

本文介绍了Golang中如何使用递归和迭代方式实现二叉树的中序遍历,通过代码实例展示了遍历过程,并重点讲解了两种方法的区别。
579

被折叠的 条评论
为什么被折叠?



