北欧行走能量消耗的估计:交叉试验
摘要
背景 :与普通行走(W)相比,北欧行走(NW)需要消耗更多能量。然而,目前尚未有报道关于北欧行走的代谢方程。因此,本研究旨在表征北欧行走和普通行走过程中摄氧量、每分钟通气量、心率、收缩压以及上下肢肌肉表面肌电图的反应,并建立北欧行走能量消耗(E,mL·kg−1·min−1)的代谢方程。
方法 :本研究采用随机、对照、交叉设计,旨在测试北欧行走(NW)和普通行走(W)过程中的能量消耗。共纳入15名健康年轻男性(年龄23.7 ± 3.0岁)。所有参与者在跑步机上以预设的逐步递增的行走速度(3–5 km·h−1)和坡度(0–7%)进行两次随机顺序的行走测试(NW和W)。记录并使用配对t检验比较NW与W期间的摄氧量、每分钟通气量、心率、收缩压以及右侧身体三个上肢肌肉和三个下肢肌肉的表面肌电图信号。采用多元线性回归分析建立W和NW期间能量消耗(E)的估算模型。
结果 :与普通行走相比,北欧行走的摄氧量(+15.8%)、每分钟通气量(+17.0%)、心率(+8.4%)和收缩压(+7.7%)均较高(P < .05)。北欧行走在所有上肢肌肉中均引起更高的肌肉活动(P < .05)。在下肢中,仅在平地行走期间,北欧行走使三个下肢肌肉中的两个肌肉的表面肌电图活动增加(P < .05)。普通行走和北欧行走的能量消耗估计值如下:ENW = 6.1 + 0.09 × 速度 + 1.19 × 速度 × 坡度 和 EW = 4.4 + 0.09 × 速度 + 1.20 × 速度 × 坡度。
结论 :与普通行走相比,北欧行走的运动强度更高,耗氧量差异为1.7 mL·kg−1·min−1。两种步行方法之间的系数没有差异。北欧行走比普通行走更多地动用了上身肌肉。
关键词 :肌电图,能量代谢,心率,北欧行走,氧气消耗
背景
北欧行走(NW)是一种使用手杖进行手臂和手部交替运动并借助北欧行走手杖推动前进的步行方式[1]。北欧行走在不同患者中对静息心率、血压、运动能力、最大氧气消耗以及生活质量具有有益作用,包括糖尿病、肥胖、慢性阻塞性肺病和帕金森病在内的疾病[2]。一项系统综述和荟萃分析报告指出,与非主动对照相比,北欧行走在心血管疾病方面显示出良好的效果,并建议将北欧行走纳入心血管康复中[3]。
与普通行走(W)相比,北欧行走表现出显著的步行特征。已知在相同速度下,北欧行走的步幅增加,步数减少。北欧行走的势能和动能的垂直振荡大于普通行走(W)[4]。在能量消耗方面,参与者在北欧行走中的能量消耗高于普通行走。
相同速度下,北欧行走能够通过降低运输成本并提高最佳行走速度和自选行走速度来改善步行的代谢经济性[5, 6]。使用手杖在步行过程中主动激活上身以推动身体前进,导致上身肌肉组织的激活程度更高[6, 7],并且与普通行走在相同行走速度下相比,北欧行走增加了心血管代谢[8]。这些急性差异使得上肢运动模式更优,增加手臂摆动,减少上肢肌肉的共同收缩[6]。
当北欧行走与普通行走之间的氧气消耗差异以百分比表示时,在平地行走期间,氧气消耗的增加幅度在7%到23%之间[9–12]。相反,尽管北欧行走的能量消耗显著增加,但主观感知用力程度并未显著升高[8, 11]。
据我们所知,目前尚未有报道北欧行走的代谢方程。无论行走速度如何,北欧行走在步行时的氧气消耗均高于普通行走。在上坡行走期间,北欧行走的氧气消耗也大于普通行走;然而,与平地行走相比,上坡行走时能量消耗的增加程度有所降低[7, 8]。
在将北欧行走用于患者的运动训练时,应考虑运动强度,且需要准确估计平地和上坡行走时的能量消耗。
运动期间的能量消耗通常被估算为静息状态、水平分量和垂直分量的总和。关于步行运动,美国运动医学会(ACSM)提出的代谢计算方程包含行走速度(m·min−1)和坡度分数,其能量消耗 E(mL·kg−1·min−1)的估计值方程为:E = 3.5 + 0.1 × 速度 + 1.8 × 速度 × 坡度分数(美国运动医学会(ACSM)方程)[13]。
北欧行走(NW)比普通行走(W)消耗更多能量,但其代谢方程尚未被报道。我们假设北欧行走的能量消耗可以从步行的水平和垂直值推导得出。本研究旨在测量在跑步机上以递增速度和坡度进行北欧行走和普通行走时的代谢、心血管和肌肉反应。此外,我们旨在推导出包含水平和垂直要素(即步态速度和坡度)的北欧行走能量消耗(E)的代谢方程。
方法
研究设计与参与者
本研究采用随机、对照、交叉设计,以评估北欧行走(NW)和普通行走(W)期间的代谢、心血管及肌肉反应(图1a)。实验在实验室环境下于1天内完成,无后续随访。健康成年人(年龄≥19岁)且无北欧行走杖使用经验者被招募为研究对象。有心律失常、心力衰竭或心肌梗死病史,或在过去3个月内接受过心血管疾病治疗或用药的个体被排除在研究之外。
我们假设普通行走(W)的氧气消耗为18.3 mL·kg−1·min−1,北欧行走(NW)为20.5 mL·kg−1·min−1(普通行走在实验中的标准差为2.5 mL·kg−1·min−1)[11]。预计样本量为11,α水平为0.05,β水平为0.20。预计退出率为30%,因此最终样本量计算为16。第一位参与者于2018年3月24日入组。实验于2018年5月31日完成,共纳入16人。实验过程中,有1名受试者未进行表面肌电图检测,因此最终分析包括15名受试者的结果。
实验组由15名健康男性组成。表1列出了年龄、体重、身体质量指数、腰围、脐高、静息状态下的收缩压和舒张压(SBP 和 DBP)、静息心率(HR)、室温和室湿的平均值和标准差。所有参与者在本研究之前均无北欧行走经验,并充分了解了研究的流程及其参与可能存在的风险。所有参与者在提供书面同意后自愿参加本研究。本研究已获得机构审查委员会批准。该研究与另一项分析使用可穿戴设备测量北欧行走期间心率准确性的研究一并进行[14]。
健走技术
参与者在渐进式步行测试当天前往运动测试实验室。实验前,他们提前收到了有关北欧行走法的主页链接(http://www.nordicwalking.or.kr)。实验当天,他们在韩国北欧行走联合会/韩国步行协会(Y. Ha)的一名健走指导员指导下,接受了1小时的北欧行走杖抓握与释放训练,并在地面及跑步机上进行了北欧行走练习。北欧行走技术源自典型的越野滑雪训练方式,需要掌握特定的技术:手臂伸展的动作类似于自然步行时的活动范围,保持上身直立,在负荷阶段保持手杖向后的位置,主动且动态地使用手杖,并通过手握及抓握/释放模式控制手杖[15]。每位参与者的杖长(Nordic Friend,Gabel,意大利)设定为脐高。行走杖重量为196g。在跑步机上完成北欧行走的适应后,要求参与者在开始行走测试前至少休息30分钟。
分级步行测试协议
跑步机上的分级步行测试协议包括20分钟阶段的休息、适应、步行和恢复。参与者在2 km·h−1的速度下进行2分钟热身并熟悉环境,该速度与第一步行测试阶段相同。行走测试包含七个阶段,每个阶段持续2分钟:在跑步机(STEX 8100TD;泰华机电,安养市,韩国)上以3 km·h−1、4 km·h−1和5 km·h−1的速度进行步行,坡度为0%坡度,以及在5 km·h−1速度下分别以1%、3%、5%和7%坡度进行(图1b)。
参与者在跑步机上以逐步递增的速度和坡度进行步行。采用两种步行条件(无负重和负重),通过随机数生成随机序列。血压袖带佩戴在左上臂,每个阶段结束时测量收缩压/舒张压。使用12导联心电图(飞利浦 StressVue,飞利浦,荷兰)每30秒间隔评估心率,并记录最高心率。每个行走阶段均选择了一个值。每个行走阶段还使用6–20分博格自觉用力评分(RPE)量表对用力程度进行了评分[16]。
通气气体分析
使用通气气体分析系统(Ultima PFX®,MGC 诊断公司,美国明尼苏达州圣保罗)测量氧气消耗(V̇O2)、二氧化碳产生量(V̇CO2)、每分钟呼出通气量(V̇E)、呼吸交换率(RER)和呼吸频率(RR)。每个步行阶段最后2分钟的测量值取平均值。
表面肌电图
采用型号586台式DTS接收器和型号542台式DTS肌电传感器(诺拉克逊美国公司,亚利桑那州斯科茨代尔),记录右侧身体三角肌前束(DEL,肩峰与三角肌粗隆之间的中点)、肱二头肌(BB,肱二头肌最厚的肌腹)、肱三头肌(TB,肩峰与鹰嘴之间的中点)、股外侧肌(VL,髌骨上方及外侧五个手指宽度处)、内侧腓肠肌(GCM,小腿肌肉内侧肌腹)和胫骨前肌(TA,胫骨结节下方四个手指宽度)的表面肌电信号。
在应用表面电极之前,使用酒精棉片清洁皮肤以降低阻抗。一名熟练的物理治疗师将所有电极用胶带固定在收缩的肌腹中点处,并确保电极与肌纤维平行。采样频率为1500赫兹。数据通过采集软件(myoRESEARCH® 3)进行10–250赫兹带通滤波和整流处理。每个步行阶段均获取均方根值。
数据分析
所获取的数据使用 SPSS 版本 23(IBM,纽约阿蒙克)进行分析。采用配对 t 检验比较北欧行走与普通行走之间的血流动力学反应、通气气体分析和表面肌电结果。P值 < 0.05 被认为具有显著性。
采用简单线性回归分析和多元线性回归分析来估计北欧行走的能量消耗。对平地行走(行走阶段1至3;坡度= 0%;行走速度3至5 km·h−1或50至83 m·min−1)不同行走速度下的V̇O2(mL·kg−1·min−1)进行简单线性回归分析。对恒定速度下不同坡度(行走阶段3至7;速度= 5 km·h−1或83 m·min−1)的V̇O2也采用简单线性回归分析进行估计。对步行阶段1至7,采用多元线性回归分析评估跑步机速度以及跑步机速度与坡度的交互作用。
普通行走的能量消耗也采用与北欧行走相同的方法,通过简单和多元线性回归分析进行估计值。
结果
通气气体分析、心率和分级正常行走和助行器行走过程中的血压
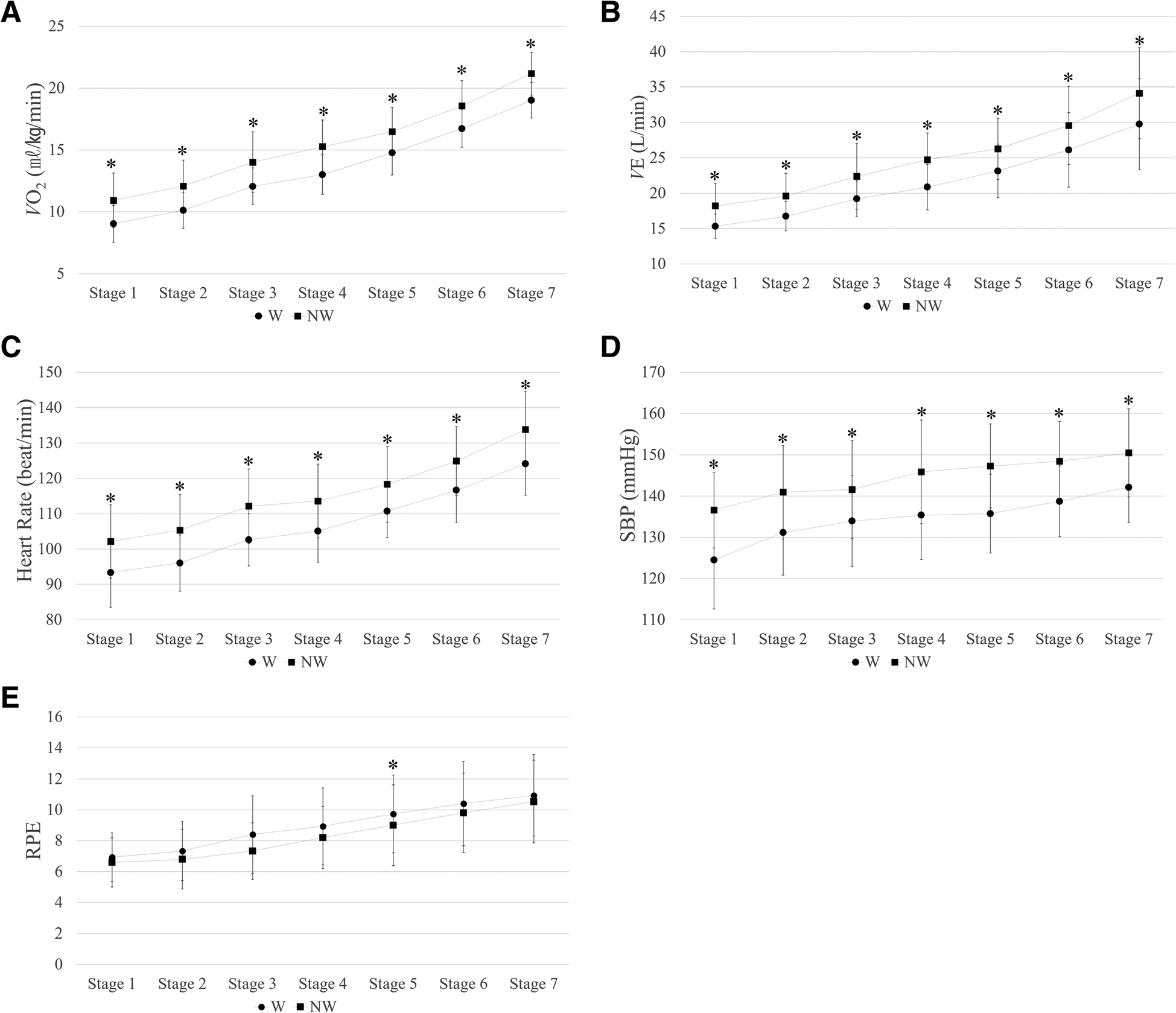
通气气体分析结果显示,北欧行走(NW)的能量消耗和血流动力学反应较普通行走(W)增加。V̇O2(+15.8%)、V̇CO2(+17.0%)、V̇E(+17.0%)、RR(+18.2%)、SBP(+7.7%)、DBP(+6.9%)和HR(+8.4%)在北欧行走中均显著高于普通行走(P值 <0.05)(表2)。在所有行走阶段中,V̇O2, V̇E、HR和SBP在北欧行走与普通行走之间均存在显著差异(图2)。相反,主观疲劳程度(RPE)在北欧行走中低于普通行走(表2)。胸痛在北欧行走和普通行走中均未出现。呼吸困难程度非常低,北欧行走与普通行走之间无显著差异。
分级正常行走和助行器行走期间上下肢肌肉的激活
W和北欧行走之间肌肉活动的差异在上肢和下肢中有所不同。上肢肌肉活动(DEL、BB和TB)在北欧行走中显著高于普通行走(P值 < 0.05)(表2)。这些差异在所有步行阶段均显著(图3)。在下肢肌肉中,VL的活动在两种步行条件下无显著差异(表2)。TA和GCM活动在北欧行走中较高(表3);然而,仅在平地行走时表现出显著差异(TA为第1阶段和第2阶段;GCM为第1阶段)(图3)。
北欧行走和普通行走的氧气消耗估算
北欧行走和普通行走期间的通气气体分析结果显示,北欧行走时的摄氧量为10.9 ± 2.2至21.2 ±1.7 mL·kg−1·min−1,普通行走时为9.0 ± 1.5至19.0 ±1.4 mL·kg−1·min−1。第1阶段到第7阶段北欧行走与普通行走之间的氧气消耗差异范围为1.7–2.3 mL·kg−1·min−1(表3)。
在平地行走(行走阶段1至3;坡度= 0%;速度3至5 km·h−1或50至83 m·min−1)期间,以不同的行走速度进行北欧行走时的能量消耗或V̇O2(mL·kg−1·min−1)采用简单线性回归分析进行分析,并对行走速度的系数进行了估计(表4,图4a)。速度以m·min−1表示,坡度分数为以小数形式表示的坡度百分比(例如,10%= 0.10):
$$ \text{能量消耗}_{NW} = 6.3 + 0.09 \times \text{速度} $$
以恒定速度(步行阶段3至7;速度= 5 km·h−1或83 m·min−1)在不同坡度下进行北欧行走时的氧气消耗,采用简单线性回归分析进行估计,并估算了坡度分数的系数(表4,图4b):
$$ \text{能量消耗}_{NW} = 13.9 + 99.2 \times \text{坡度分数} $$
将系数0.09和速度值(83.3 m·min−1)整合到方程中:
$$ \text{能量消耗}_{NW} = 6.4 + 0.09 \times 83.3 + 1.19 \times 83.3 \times \text{坡度分数} $$
采用简单线性回归分析,以与北欧行走相同的方式估计普通行走的能量消耗。
$$ E_W = 4.4 + 0.09 \times \text{speed} \quad (\text{walking stage 1 to 3}) $$
$$ E_W = 11.9 + 100.1 \times \text{fractional grade} \quad (\text{walking stage 3 to 7}) $$
$$ E_W = 4.4 + 0.09 \times 83.3 + 1.20 \times 83.3 \times \text{fractional grade} $$
根据两步简单线性回归分析的估算方程,北欧行走的常数值为6.4,普通行走为4.4,两者差异为2.0 mL·kg−1·min−1。速度系数在两者中均为0.09。
讨论
据我们所知,这是首个通过步行的水平和垂直值推导北欧行走能量消耗的研究。
在给定速度和坡度下行走时,北欧行走的运动强度高于普通行走。在所有行走阶段中,北欧行走的氧气消耗(V̇O2)高出+15.8%,二氧化碳排出量(V̇CO2)高出+17.0%,分钟通气量(V̇E)高出+17.0%,呼吸频率(RR)高出+18.2%,收缩压(SBP)高出+7.7%,舒张压(DBP)高出+6.9%,心率(HR)高出+8.4%,均显著高于普通行走。本研究基于实测的氧气消耗(V̇O2)、行走速度和坡度,推导出新的北欧行走和普通行走的能量消耗估算方程:
$$ E_W = 4.4 + 0.09 \times \text{speed}\,(m·min^{-1}) + 1.20 \times \text{speed} \times \text{fractional grade} $$
和
$$ E_{NW} = 6.1 + 0.09 \times \text{speed}\,(m·min^{-1}) + 1.19 \times \text{speed} \times \text{fractional grade} $$。
普通行走上最终方程中的常数项为4.4 mL·kg⁻¹·min⁻¹,略高于美国运动医学会方程中已知的静息耗氧量3.5 mL·kg⁻¹·min⁻¹ [13]。速度的系数为0.09,与已知值0.1[13]相近。
先前的研究以与普通行走能量消耗相比的百分比差异(%V̇O2)报告了北欧行走的能量消耗。在平地行走期间,该结果随行走速度和坡度的不同而变化,范围为7%至23%[9–12]。对于上坡行走,菲加德‐法布雷等人[8]在以4 km·h⁻¹的速度行走时测量了0%和5%坡度下的氧气消耗,%V̇O2在0%坡度时为16%,在5%坡度时降至12%。在本研究中,%VO2在最小能量消耗时最高,在最大能量消耗时最低。当行走速度从3 km/h增加到5 km/h时,北欧行走相对于普通行走的%VO2从20.9%下降到16.2%。当上坡坡度在恒定速度(5 km·h⁻¹)下从0%增加到7%时,%V̇O2从最高值(17.4%)下降到最低值(10.9%)。相反,北欧行走与普通行走在ΔV̇O2上的差异相对恒定而非成比例。通过基于速度以及速度 ×坡度的多元线性回归分析得出,北欧行走和普通行走两个方程的常数差为1.7 mL·kg⁻¹·min⁻¹。菲加德‐法布雷等人的研究结果[8]与我们的方程中的数值一致(4 km·h⁻¹,0%,普通行为10.4 mL·kg⁻¹·min⁻¹;北欧行走为12.1 mL·kg⁻¹·min⁻¹;%V̇O2 为16%;4 km·h⁻¹,5%,普通行为14.4 mL·kg⁻¹·min⁻¹;北欧行走为16.1 mL·kg⁻¹·min⁻¹;%V̇O2 为12%)。佩莱格里尼等人[7]测量了在15%坡度下以4 km·ḣ行走时的氧气消耗,行走速度为4 km·h⁻¹时,%V̇O2为6.9%。该数值与我们的方程结果一致(4 km·h⁻¹,15%,普通行为22.4 mL·kg⁻¹·min⁻¹;北欧行走为24 mL·kg⁻¹·min⁻¹;%V̇O2为7%)。
步行速度 ×坡度的系数在本研究中为1.20,小于美国运动医学会的系数。美国运动医学会开发的用于估计摄氧量的回归方程存在已知局限性,会导致能量消耗的高估,尤其是在较高运动强度下[17]。Kokkinos等人最近基于健身注册与锻炼国家数据库(FRIE ND)开发了一种新的步行能量消耗方程,并建议步行速度 ×坡度采用较小的系数值0.79:
$$ E(mL·kg⁻¹·min⁻¹)= 3.5 + 0.17 × \text{行走速度}(m·min⁻¹)+ 0.79 × \text{行走速度} × \text{坡度分数} $$(FRIE ND方程)[17]。
佩莱格里尼等人报告称,北欧行走的总机械功较高,主要是由于移动上肢和手杖所需做功更大[4]。北欧行走导致运动强度和氧气消耗增加,这是由于上肢肌肉活动增强所致。通过表面肌电信号检测到了上肢活动的增加。结合上身运动的步行[18]可增加V̇O2。在北欧行走中,上肢肌肉(三角肌前束、肱二头肌和肱三头肌)的活动明显高于普通行走。在下肢肌肉中,除缓慢平地行走期间的胫骨前肌和腓肠肌外,两种步行方式之间未发现显著差异。关于步行时进行上肢运动的情况,与普通行走相比,氧气消耗量显著增加[18]。北欧行走中氧气消耗的增加似乎与上肢肌肉活动的增强有关。该结果与以往的研究发现一致[6, 7]。
有趣的是,与普通行走相比,北欧行走的氧气消耗显著增加;然而,在平地行走时,主观难度和主观疲劳程度在北欧行走与普通行走之间无显著差异,而在上坡行走时,北欧行走的主观疲劳程度反而更低。既往研究显示更高的 RPE[9]、更低的RPE[11]或无差异[8]与普通行走相比,持杖行走在上坡行走时的主观疲劳程度降低已在先前的研究中得到报告。根据一项比较北欧行走与普通行走在下坡、上坡和平地行走时主观疲劳程度的研究,北欧行走在上坡行走时的主观疲劳程度显著低于普通行走[8]。
北欧行走的氧气消耗公式仅基于非快速行走速度(3–5 km·h⁻¹)和7%以内的坡度推导得出。在更快的行走速度或更大坡度情况下,能量消耗的估算值可能与预测值存在差异。此外,北欧行走的能量消耗还可能受到除行走速度和坡度之外的其他多种因素影响。当使用相对较短的登山杖时,上坡阶段的能量消耗高于使用正常长度登山杖的情况[20]。相比之下,登山杖的重量似乎对能量消耗没有显著影响[21]。通过比较普通步行和四种不同类型的北欧行走,发现肌肉活动和代谢反应因北欧行走类型而异;然而,所有类型的北欧行走均表现出比普通步行更高的代谢反应和肌肉活动[22]。
北欧行走通常在户外进行。我们在室内跑步机上进行了测量。在非跑步机环境(户外实地研究)中进行的研究所测得的氧气消耗结果与我们公式预测值存在差异。Church等人报道,在平均自选步行速度下(男性参与者为5.6 km·h⁻¹,女性参与者为5.9 km·h⁻¹),普通行走和北欧行走期间的平均氧气消耗量分别为13.9 mL·kg⁻¹·min⁻¹和16.7 mL·kg⁻¹·min⁻¹。这些数值高于根据我们方程估算的V̇O₂值(普通行走为12.8和13.3 mL·kg⁻¹·min⁻¹,北欧行走为14.5和15.0 mL·kg⁻¹·min⁻¹)。实地研究中测得的氧气消耗值大于我们的预测值;特别是北欧行走期间的V̇O₂高于预测值。就实地测试而言,地形特征与跑步机不同,可能导致撑杖力量或肌肉活动的差异。步行地形的不同会导致北欧行走期间氧气消耗的差异。根据Schiffer等人的研究,在天然足球草坪上的北欧行走氧气消耗显著高于混凝土地面。
结论
我们开发了一个方程来估计北欧行走期间的耗氧量,该方程显示北欧行走的耗氧量始终高出1.7 mL·kg⁻¹·min⁻¹。为了更精确地制定运动处方,有必要对较快速度下的北欧行走耗氧量进行估计。在慢速和快速行走速度下,以及在平地和上坡坡度下,北欧行走与普通行走之间的V̇O2差异均为常数。
缩写
NW:北欧行走;W:普通步行;V̇O₂:摄氧量;V̇E:每分钟通气量;RER:呼吸交换比;RR:呼吸频率;DEL:三角肌前束;BB:肱二头肌;TB:肱三头肌;VL:股外侧肌;GCM:内侧腓肠肌;TA:胫骨前肌;HR:心率;SBP:收缩压;DBP:舒张压;sEMG:表面肌电图;E:能量消耗;ACSM:美国运动医学会;RPE:主观疲劳程度评分
4万+

被折叠的 条评论
为什么被折叠?



